基本信息
| 产品名称 |
4-(2-羧基乙烯基)-3-羟基-2-萘羧酸锑(3+)钠盐 |
| 英文名 |
4-(2-Carboxyethenyl)-3-hydroxy-2-naphthalenecarboxylic acid antimony(3+) sodium salt |
| 别名 |
Trisodium; Antimony(+3) Cation; 3-Hydroxy-4-[(E)-3-Oxido-3-Oxo-Prop-1-Enyl]Naphthalene-2-Carboxylate; Trisodium; Antimony(+3) Cation; 3-Hydroxy-4-[(E)-3-Oxido-3-Oxoprop-1-Enyl]-2-Naphthalenecarboxylate |
|
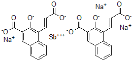
| 分子结构 |
 |
| 分子式 |
C28H16Na3O10Sb |
| 分子量 |
703.15 |
| CAS 登录号 |
80049-89-4 |
| 分子行输入简码 SMILES |
C12=CC=CC=C1C=C(C(=C2\C=C\C([O-])=O)O)C([O-])=O.C34=CC=CC=C3C=C(C(=C4\C=C\C([O-])=O)O)C([O-])=O.[Na+].[Na+].[Na+].[Sb+3] |
| 国际化学标识码 InChI |
1S/2C14H10O5.3Na.Sb/c2*15-12(16)6-5-10-9-4-2-1-3-8(9)7-11(13(10)17)14(18)19;;;;/h2*1-7,17H,(H,15,16)(H,18,19);;;;/q;;3*+1;+3/p-4/b2*6-5+;;;; |
| 国际化学标识检索码 InChIKey |
HPMIMVGGIARIAY-ZIXAZJSVSA-J |
|