Online Database of Chemicals from Around the World

潮霉素 B
[CAS# 8052-93-5]

供应商
International Laboratory Limited 美国 询价快递  
+1 (650) 278-9963
admin@intlab.org
化学品生产商(2002 年起)
基本信息
产品名称 潮霉素 B
英文名 Hygromycin B
别名 (3'R,3As,4S,4'R,5'R,6R,6'R,7S,7As)-4-[(1R,2S,3R,5S,6R)-3-Amino-2,6-Dihydroxy-5-Methylamino-Cyclohexoxy]-6'-[(1S)-1-Amino-2-Hydroxy-Ethyl]-6-(Hydroxymethyl)Spiro[4,6,7,7A-Tetrahydro-3Ah-[1,3]Dioxolo[4,5-D]Pyran-2,2'-Tetrahydropyran]-3',4',5',7-Tetrol; (3'R,3As,4S,4'R,5'R,6R,6'R,7S,7As)-4-[(1R,2S,3R,5S,6R)-3-Amino-2,6-Dihydroxy-5-Methylaminocyclohexoxy]-6'-[(1S)-1-Amino-2-Hydroxyethyl]-6-(Hydroxymethyl)Spiro[4,6,7,7A-Tetrahydro-3Ah-[1,3]Dioxolo[4,5-D]Pyran-2,2'-Tetrahydropyran]-3',4',5',7-Tetrol; (3'R,3As,4S,4'R,5'R,6R,6'R,7S,7As)-4-[(1R,2S,3R,5S,6R)-3-Amino-2,6-Dihydroxy-5-Methylamino-Cyclohexoxy]-6'-[(1S)-1-Amino-2-Hydroxy-Ethyl]-6-Methylol-Spiro[4,6,7,7A-Tetrahydro-3Ah-[1,3]Dioxolo[4,5-D]Pyran-2,2'-Tetrahydropyran]-3',4',5',7-Tetrol
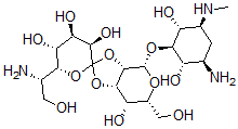
分子结构 CAS 登录号:8052-93-5, 潮霉素 B
分子式 C20H37N3O13
分子量 527.52
CAS 登录号 8052-93-5
分子行输入简码 SMILES [C@@H]4(C3(O[C@@H]2[C@H](O[C@H]1[C@@H]([C@H](C[C@H]([C@@H]1O)N)NC)O)O[C@@H]([C@@H]([C@@H]2O3)O)CO)O[C@@H]([C@H](O)[C@H]4O)[C@H](CO)N)O
国际化学标识码 InChI 1S/C20H37N3O13/c1-23-7-2-5(21)9(26)15(10(7)27)33-19-17-16(11(28)8(4-25)32-19)35-20(36-17)18(31)13(30)12(29)14(34-20)6(22)3-24/h5-19,23-31H,2-4,21-22H2,1H3/t5-,6+,7+,8-,9+,10-,11+,12-,13-,14-,15-,16+,17+,18-,19+,20?/m1/s1
国际化学标识检索码 InChIKey GRRNUXAQVGOGFE-KPBUCVLVSA-N
物理化学性质
密度 1.674g/cm3 (计算值)
沸点 897.647°C at 760 mmHg (计算值)
闪点 496.679°C (计算值)
市场分析报告
请浏览潮霉素 B市场分析报告总目录
相关产品
(E)-3,4-二(4-羟基苯基)-3-己烯  5-巯基邻茴香酸  吡考他胺单水合物  (3-((1,3,2-二氧磷杂环己烷-2-基)氧基...  Protoveratrines  6-氯汞胆固醇    N-(苯甲酰氧基)月桂亚氨酸乙酯  8-(2,2,6,6-四甲基哌啶-4-基-1-氧化...  Bonain's Liquid  5-溴-3-(3-溴-1,2-丙二烯基)-8-[2...  Proksifein  2-氰基-3-(4-甲基苯基)丙烯酸  Actifed  苄基单菌霉素