Online Database of Chemicals from Around the World

Almagel-Neo
[CAS# 8065-58-5]

供应商
CAS#: 8065-58-5
产品: Almagel-Neo
暂时没有厂家供应该产品。
基本信息
产品名称 Almagel-Neo
英文名 Almagel-Neo
别名 Almagel Laxans; Almagel-Neo; D-Glucitol, Mixt. With Aluminum Hydroxide And Magnesium Oxide
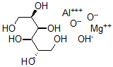
分子结构 CAS 登录号:8065-58-5, Almagel-Neo
分子式 C6H15AlMgO10
分子量 298.47
CAS 登录号 8065-58-5
分子行输入简码 SMILES [O--].[C@H](O)([C@H](O)[C@@H](O)CO)[C@H](O)CO.[Al+3].[O--].[Mg++].[O--].[OH-]
国际化学标识码 InChI 1S/C6H14O6.Al.Mg.H2O.3O/c7-1-3(9)5(11)6(12)4(10)2-8;;;;;;/h3-12H,1-2H2;;;1H2;;;/q;+3;+2;;3*-2/p-1/t3-,4+,5-,6-;;;;;;/m1....../s1
国际化学标识检索码 InChIKey UHQZDLQDZKXOFD-VMIFZFQBSA-M
物理化学性质
沸点 494.9°C at 760 mmHg (计算值)
闪点 292.5°C (计算值)
市场分析报告
请浏览Almagel-Neo市场分析报告总目录
相关产品
17alpha-羟基群勃龙  (3aalpha,4alpha,7alpha,7a...  Wofasteril  1-(1-(N-(N2-(1-(N2-(3,4-二...  乙基-10-碘癸酸酯  咪唑甲酰胺  Ovosiston  DDB  氰土利  三(丙基烯二胺)钨酸铁五水合物  二(N-丁胺)草酸铁  二(甲胺)草酸铁  四(哌啶)草酸铁  二(间甲氧基苯胺)草酸铁  (邻亚苯基二胺)草酸铁