基本信息
| 产品名称 |
3-氨基吡啶1,N(6)-乙烯桥腺嘌呤二核苷酸 |
| 英文名 |
3-Aminopyridine 1,N(6)-Ethenoadenine Dinucleotide |
| 别名 |
[(2R,3S,4R,5R)-5-(3-Aminopyridin-1-Ium-1-Yl)-3,4-Dihydroxy-Tetrahydrofuran-2-Yl]Methyl [[(2R,3S,4R,5R)-3,4-Dihydroxy-5-Imidazo[2,1-F]Purin-3-Yl-Tetrahydrofuran-2-Yl]Methoxy-Hydroxy-Phosphoryl] Phosphate; [(2R,3S,4R,5R)-5-(3-Amino-1-Pyridin-1-Iumyl)-3,4-Dihydroxy-2-Tetrahydrofuranyl]Methyl [[(2R,3S,4R,5R)-3,4-Dihydroxy-5-(3-Imidazo[2,1-F]Purinyl)-2-Tetrahydrofuranyl]Methoxy-Hydroxyphosphoryl] Phosphate; [(2R,3S,4R,5R)-5-(3-Aminopyridin-1-Ium-1-Yl)-3,4-Dihydroxy-Oxolan-2-Yl]Methyl [[(2R,3S,4R,5R)-3,4-Dihydroxy-5-Imidazo[2,1-F]Purin-3-Yl-Oxolan-2-Yl]Methoxy-Hydroxy-Phosphoryl] Phosphate |
|
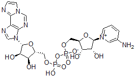
| 分子结构 |
 |
| 分子式 |
C22H27N7O13P2 |
| 分子量 |
659.44 |
| CAS 登录号 |
82773-63-5 |
| 分子行输入简码 SMILES |
[C@H]1(O[C@@H]([C@@H](O)[C@H]1O)CO[P](O[P](OC[C@H]3O[C@@H]([N+]2=CC=CC(=C2)N)[C@H](O)[C@@H]3O)([O-])=O)(=O)O)[N]4C6=C(N=C4)C5=NC=C[N]5C=N6 |
| 国际化学标识码 InChI |
1S/C22H27N7O13P2/c23-11-2-1-4-27(6-11)21-17(32)15(30)12(40-21)7-38-43(34,35)42-44(36,37)39-8-13-16(31)18(33)22(41-13)29-10-25-14-19-24-3-5-28(19)9-26-20(14)29/h1-6,9-10,12-13,15-18,21-22,30-33H,7-8,23H2,(H-,34,35,36,37)/t12-,13-,15-,16-,17-,18-,21-,22-/m1/s1 |
| 国际化学标识检索码 InChIKey |
JVELNHZMYGAELO-RBEMOOQDSA-N |
|