Online Database of Chemicals from Around the World

Spasmofen
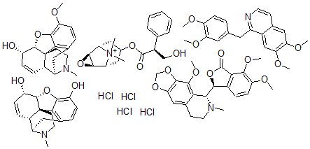
[CAS# 82824-08-6]

供应商
International Laboratory Limited 美国 询价快递  
+1 (650) 278-9963
admin@intlab.org
化学品生产商(2002 年起)
基本信息
产品名称 Spasmofen
英文名 Spasmofen
分子结构 CAS 登录号:82824-08-6, Spasmofen
分子式 C95H112Cl4N5O21
分子量 1801.76
CAS 登录号 82824-08-6
分子行输入简码 SMILES [Cl].[Cl].[Cl].[Cl].O3[C@@H]5[C@]12[C@H]([C@H](N(CC1)C)CC4=C2C3=C(OC)C=C4)C=C[C@@H]5O.O8[C@@H]%10[C@]67[C@H]([C@H](N(CC6)C)CC9=C7C8=C(O)C=C9)C=C[C@@H]%10O.O%14[C@H]([C@@H]%12N(CCC%13=CC%11=C(OCO%11)C(=C%12%13)OC)C)C%15=C(C%14=O)C(=C(OC)C=C%15)OC.O(C%16=C(OC)C=C%17C(=C%16)C(=NC=C%17)CC%18=CC(=C(OC)C=C%18)OC)C.[N+]%20([C@H]%22[C@H]%19O[C@H]%19[C@@H]%20CC(OC(=O)[C@H](CO)C%21=CC=CC=C%21)C%22)(C)C.[H].[H].[H].[H]
国际化学标识码 InChI 1S/C22H23NO7.C20H21NO4.C18H24NO4.C18H21NO3.C17H19NO3.4Cl.4H/c1-23-8-7-11-9-14-20(29-10-28-14)21(27-4)15(11)17(23)18-12-5-6-13(25-2)19(26-3)16(12)22(24)30-18;1-22-17-6-5-13(10-18(17)23-2)9-16-15-12-20(25-4)19(24-3)11-14(15)7-8-21-16;1-19(2)14-8-12(9-15(19)17-16(14)23-17)22-18(21)13(10-20)11-6-4-3-5-7-11;1-19-8-7-18-11-4-5-13(20)17(18)22-16-14(21-2)6-3-10(15(16)18)9-12(11)19;1-18-7-6-17-10-3-5-13(20)16(17)21-15-12(19)4-2-9(14(15)17)8-11(10)18;;;;;;;;/h5-6,9,17-18H,7-8,10H2,1-4H3;5-8,10-12H,9H2,1-4H3;3-7,12-17,20H,8-10H2,1-2H3;3-6,11-13,17,20H,7-9H2,1-2H3;2-5,10-11,13,16,19-20H,6-8H2,1H3;;;;;;;;/q;;+1;;;;;;;;;;/t17-,18+;;12?,13-,14-,15+,16-,17+;11-,12+,13-,17-,18-;10-,11+,13-,16-,17-;;;;;;;;/m1.100......../s1
国际化学标识检索码 InChIKey POLGVTUNTYOVKR-YMVILIOTSA-N
市场分析报告
请浏览Spasmofen市场分析报告总目录
相关产品
3-(5-苯基-1,3,4-噻二唑-2-基)-2-...  Passicapsin  N-[3-(2,5-二氢-5-硫代-1H-四唑-1...  7-(2,3-环氧丙氧基)放线菌素 D  5-甲基-2-氧代-1H,3H-咪唑啉-4-羧酸乙...  三环[5.3.0.0(2.6)]癸-1(7)-烯  3-[O-(十六烷氧基)苯基]-3-氧代-N-(4...  3-[[(E)-2-乙酰氨基乙烯基]硫代]-6-异...  2-(乙酰氨基)-2-脱氧-L-半乳糖醛酸  嘟拉碱  4'-溴-2,3,4,5-四氯-1,1'-联苯  1beta-甲基-1-苯基环己烷  2,4-二羟基-5-(3-(2-羟基苯基)-1-氧...  5-(3-(3-羧基-4-羟基苯基)-1-氧代-2...  3,4-二(3',3'-二甲氧基苯基)-3-己烯