基本信息
| 产品名称 |
1,2-十五碳酰磷脂酰胆碱 |
| 英文名 |
1,2-Pentadecanoylphosphatidylcholine |
| 别名 |
[1-[(2,3-Dihydroxypropoxy-Hydroxy-Phosphoryl)Oxymethyl]-2-Pentadecanoyloxy-Ethyl] Pentadecanoate; Pentadecanoic Acid [1-[(2,3-Dihydroxypropoxy-Hydroxyphosphoryl)Oxymethyl]-2-(1-Oxopentadecoxy)Ethyl] Ester; Pentadecanoic Acid [1-[(Glyceryloxy-Hydroxy-Phosphoryl)Oxymethyl]-2-Pentadecanoyloxy-Ethyl] Ester |
|
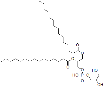
| 分子结构 |
 |
| 分子式 |
C36H71O10P |
| 分子量 |
694.92 |
| CAS 登录号 |
83588-03-8 |
| 分子行输入简码 SMILES |
C(C(CO[P](=O)(O)OCC(CO)O)OC(CCCCCCCCCCCCCC)=O)OC(CCCCCCCCCCCCCC)=O |
| 国际化学标识码 InChI |
1S/C36H71O10P/c1-3-5-7-9-11-13-15-17-19-21-23-25-27-35(39)43-31-34(32-45-47(41,42)44-30-33(38)29-37)46-36(40)28-26-24-22-20-18-16-14-12-10-8-6-4-2/h33-34,37-38H,3-32H2,1-2H3,(H,41,42) |
| 国际化学标识检索码 InChIKey |
YWGQFCQRZHYWAU-UHFFFAOYSA-N |
|