Online Database of Chemicals from Around the World

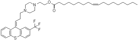
2-(4-{(3Z)-3-[2-(三氟甲基)-9H-噻吨-9-亚基]丙基}-1-哌嗪基)乙基 (9Z)-9-十八碳烯酸酯
[CAS# 85721-06-8]

供应商
Alfa Chemistry 美国 询价快递  
+1 (201) 478-8534
inquiry@alfa-chemistry.com
化学品供销商(2012 年起)
chemBlink 标准供应商(2012 年起)
基本信息
产品名称 2-(4-{(3Z)-3-[2-(三氟甲基)-9H-噻吨-9-亚基]丙基}-1-哌嗪基)乙基 (9Z)-9-十八碳烯酸酯
英文名 2-(4-{(3Z)-3-[2-(Trifluoromethyl)-9H-thioxanthen-9-ylidene]propyl}-1-piperazinyl)ethyl (9Z)-9-octadecenoate
别名 (Z)-2-[4-[3-[2-(trifluoromethyl)-9H-thioxanthen-9-ylidene]propyl]-1-piperazinyl]ethyl oleate
分子结构 CAS 登录号:85721-06-8, 2-(4-{(3Z)-3-[2-(三氟甲基)-9H-噻吨-9-亚基]丙基}-1-哌嗪基)乙基 (9Z)-9-十八碳烯酸酯
分子式 C41H57F3N2O2S
分子量 698.96
CAS 登录号 85721-06-8
EINECS 登录号 288-416-0
分子行输入简码 SMILES CCCCCCCC\C=C/CCCCCCCC(=O)OCCN1CCN(CC1)CC\C=C2\c4ccccc4Sc3ccc(cc23)C(F)(F)F
国际化学标识码 InChI 1S/C41H57F3N2O2S/c1-2-3-4-5-6-7-8-9-10-11-12-13-14-15-16-23-40(47)48-32-31-46-29-27-45(28-30-46)26-19-21-35-36-20-17-18-22-38(36)49-39-25-24-34(33-37(35)39)41(42,43)44/h9-10,17-18,20-22,24-25,33H,2-8,11-16,19,23,26-32H2,1H3/b10-9-,35-21-
国际化学标识检索码 InChIKey BUTJICYIIWGDPL-DNRMARSOSA-N
物理化学性质
密度 1.111g/cm3 (计算值)
沸点 728.498°C at 760 mmHg (计算值)
闪点 394.382°C (计算值)
市场分析报告
请浏览2-(4-{(3Z)-3-[2-(三氟甲基)-9H-噻吨-9-亚基]丙基}-1-哌嗪基)乙基 (9Z)-9-十八碳烯酸酯市场分析报告总目录
相关产品
N-丁酰基-3-氧代丙氨酸  ((4-((二羟基铋基)氧基)-2-((羟基碘铋)...  [2-氯-5-(三氟甲基)苯基](4-氟苯基)甲酮  [2-溴-4-(三氟甲基)苯基](4-氟苯基)甲酮  3'-氟-4,5-二氢-3H-螺[呋喃-2,9'-...  8-喹啉磺酸水合物(1:1)  2-(4-氨基苯基)-1-丁基-1H-苯并咪唑-4...  钠3-{[5-(二乙基氨基磺酰基)-2-甲氧基苯基...  三钠5-氨基-3-{[4-({4-[(2-氨基-8...  N-{4-[(4-{[4-({1-氨基-8-羟基-...  2,5-二氯-4-(3-甲基-4-{[2-甲基-5...  二钡6,6'-[(3,3'-二甲氧基-4,4'-联...  1-甲基-3-戊y林丹  1-己基-3-甲基茚满e  1-庚基-3-甲基茚满e