基本信息
| 产品名称 |
N,N-二(2-羟基乙基)-1-丁烷铵丁基硫酸盐 |
| 英文名 |
N,N-Bis(2-hydroxyethyl)-1-butanaminium butyl sulfate |
| 别名 |
butylbis(2-hydroxyethyl)ammonium butyl sulphate; Sulfuric acid, monobutyl ester, compd. with 2,2'-(butylimino)bis(ethanol) (1:1) |
|
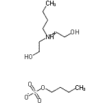
| 分子结构 |
 |
| 分子式 |
C12H29NO6S |
| 分子量 |
315.43 |
| CAS 登录号 |
85959-64-4 |
| EINECS 登录号 |
289-059-3 |
| 分子行输入简码 SMILES |
[O-]S(=O)(=O)OCCCC.OCC[NH+](CCCC)CCO |
| 国际化学标识码 InChI |
1S/C8H19NO2.C4H10O4S/c1-2-3-4-9(5-7-10)6-8-11;1-2-3-4-8-9(5,6)7/h10-11H,2-8H2,1H3;2-4H2,1H3,(H,5,6,7) |
| 国际化学标识检索码 InChIKey |
XJJNKIJYDXKFFW-UHFFFAOYSA-N |
|