Online Database of Chemicals from Around the World

2-(5-乙基-5,11-二氢二苯并[b,e][1,4]氧氮杂卓-11-基)-N,N-二甲基乙胺(2E)-2-丁烯二酸酯(1:1)
[CAS# 86640-32-6]

供应商
CAS#: 86640-32-6
产品: 2-(5-乙基-5,11-二氢二苯并[b,e][1,4]氧氮杂卓-11-基)-N,N-二甲基乙胺(2E)-2-丁烯二酸酯(1:1)
暂时没有厂家供应该产品。
基本信息
产品名称 2-(5-乙基-5,11-二氢二苯并[b,e][1,4]氧氮杂卓-11-基)-N,N-二甲基乙胺(2E)-2-丁烯二酸酯(1:1)
英文名 2-(5-Ethyl-5,11-dihydrodibenzo[b,e][1,4]oxazepin-11-yl)-N,N-dimethylethanamine (2E)-2-butenedioate (1:1)
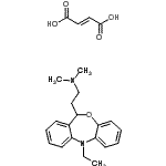
分子结构 CAS 登录号:86640-32-6, 2-(5-乙基-5,11-二氢二苯并[b,e][1,4]氧氮杂卓-11-基)-N,N-二甲基乙胺(2E)-2-丁烯二酸酯(1:1)
分子式 C23H28N2O5
分子量 412.48
CAS 登录号 86640-32-6
分子行输入简码 SMILES O=C(O)\C=C\C(=O)O.O3c1ccccc1N(c2c(cccc2)C3CCN(C)C)CC
国际化学标识码 InChI 1S/C19H24N2O.C4H4O4/c1-4-21-16-10-6-5-9-15(16)18(13-14-20(2)3)22-19-12-8-7-11-17(19)21;5-3(6)1-2-4(7)8/h5-12,18H,4,13-14H2,1-3H3;1-2H,(H,5,6)(H,7,8)/b;2-1+
国际化学标识检索码 InChIKey LRMSNWVGNACFKR-WLHGVMLRSA-N
物理化学性质
沸点 403.1°C at 760 mmHg (计算值)
闪点 114°C (计算值)
市场分析报告
请浏览2-(5-乙基-5,11-二氢二苯并[b,e][1,4]氧氮杂卓-11-基)-N,N-二甲基乙胺(2E)-2-丁烯二酸酯(1:1)市场分析报告总目录
相关产品
3,12-二(3-溴丙烷酰基)-3,12-二氮杂-...  3-乙基-3-氮杂环丁胺  2-甲基-2-(4-戊烯-1-基)-1,3-二氧戊...  3-[(2-羟基乙氧基)甲基]-3,4,7,8-四...  1-(3-氯-4-甲基苯基)-3-甲基-1H-吡唑...  5-乙基-2-(2-羟基乙基)-2,4-二氢-3H...  3-氨基-6-氟-4-喹啉醇  8-甲基-3-硝基-4-喹啉醇  4-(2,3-二氢-1-苯并呋喃-2-基)吡啶  3-(2,3-二氢-1-苯并呋喃-2-基)吡啶  4-{(E)-2-[4-(甲基氨基)苯基]乙烯基}...  (氨基磺酰基氨基)环戊烷  甲基1-(2-氰基乙基)-2-氮丙啶羧酸酯  (5E)-3-(苯胺基甲基)-5-[(2E)-3-...  (5E)-3-{[(4-甲基苯基)氨基]甲基}-5...