基本信息
| 产品名称 |
羟丁基甲基纤维素 |
| 英文名 |
Hydroxybutyl methylcellulose |
| 别名 |
1-[2,3-Bis(2-Hydroxybutoxy)-6-(2-Hydroxybutoxymethyl)-5-[3,4,5-Tris(2-Hydroxybutoxy)-6-(2-Hydroxybutoxymethyl)Tetrahydropyran-2-Yl]Oxy-Tetrahydropyran-4-Yl]Oxybutan-2-Ol; 3,4,5-Trimethoxy-2-(Methoxymethyl)-6-[4,5,6-Trimethoxy-2-(Methoxymethyl)Tetrahydropy |
|
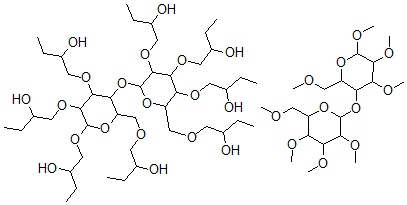
| 分子结构 |
 |
| 分子式 |
C64H124O30 |
| 分子量 |
1373.67 |
| CAS 登录号 |
9041-56-9 |
| 分子行输入简码 SMILES |
C(OCC(O)CC)C1OC(OCC(O)CC)C(OCC(O)CC)C(OCC(O)CC)C1OC2OC(C(OCC(O)CC)C(OCC(O)CC)C2OCC(O)CC)COCC(O)CC.C(OC)C3OC(OC)C(OC)C(OC)C3OC4OC(C(OC)C(OC)C4OC)COC |
| 国际化学标识码 InChI |
1S/C44H86O19.C20H38O11/c1-9-27(45)17-53-25-35-37(55-19-29(47)11-3)39(56-20-30(48)12-4)42(59-23-33(51)15-7)44(62-35)63-38-36(26-54-18-28(46)10-2)61-43(60-24-34(52)16-8)41(58-22-32(50)14-6)40(38)57-21-31(49)13-5;1-21-9-11-13(23-3)15(24-4)18(27-7)20(30-11)31 |
| 国际化学标识检索码 InChIKey |
RPZANUYHRMRTTE-UHFFFAOYSA-N |
|