基本信息
| 产品名称 |
胞壁菌素 C |
| 英文名 |
Muracein C |
| 别名 |
N-[(3R,4R,5S,6R)-2,5-Dihydroxy-6-(Hydroxymethyl)-4-(1-Methyl-2-Oxo-Ethoxy)Tetrahydropyran-3-Yl]Acetamide; N-[(3R,4R,5S,6R)-2,5-Dihydroxy-6-(Hydroxymethyl)-4-(1-Methyl-2-Oxoethoxy)-3-Tetrahydropyranyl]Acetamide; N-[(3R,4R,5S,6R)-2,5-Dihydroxy-4-(2-Keto-1-Met |
|
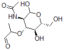
| 分子结构 |
 |
| 分子式 |
C11H19NO7 |
| 分子量 |
277.27 |
| CAS 登录号 |
91105-26-9 |
| 分子行输入简码 SMILES |
[C@@H]1(OC(C=O)C)[C@@H](NC(=O)C)C(O[C@@H]([C@H]1O)CO)O |
| 国际化学标识码 InChI |
1S/C11H19NO7/c1-5(3-13)18-10-8(12-6(2)15)11(17)19-7(4-14)9(10)16/h3,5,7-11,14,16-17H,4H2,1-2H3,(H,12,15)/t5?,7-,8-,9-,10-,11?/m1/s1 |
| 国际化学标识检索码 InChIKey |
QWRYRQKHCGBRGW-NJJVJDFKSA-N |
|