Online Database of Chemicals from Around the World

gamma-(焦谷氨酰-谷氨酰-天冬氨酰胺酰-甘氨酸)酰胺
[CAS# 91856-43-8]

供应商
CAS#: 91856-43-8
产品: gamma-(焦谷氨酰-谷氨酰-天冬氨酰胺酰-甘氨酸)酰胺
暂时没有厂家供应该产品。
基本信息
产品名称 gamma-(焦谷氨酰-谷氨酰-天冬氨酰胺酰-甘氨酸)酰胺
英文名 gamma-(Pyroglutamyl-Glutamyl-Asparaginyl-Glycine)Amide
别名 (3S)-3-[[(2S)-5-Amino-5-Oxo-2-[[(2S)-5-Oxopyrrolidine-2-Carbonyl]Amino]Pentanoyl]Amino]-4-(Carboxymethylamino)-4-Oxo-Butanoic Acid; (3S)-3-[[(2S)-5-Amino-1,5-Dioxo-2-[[Oxo-[(2S)-5-Oxo-2-Pyrrolidinyl]Methyl]Amino]Pentyl]Amino]-4-(Carboxymethylamino)-4-Oxobu
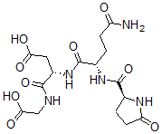
分子结构 CAS 登录号:91856-43-8, gamma-(焦谷氨酰-谷氨酰-天冬氨酰胺酰-甘氨酸)酰胺
分子式 C16H23N5O9
分子量 429.39
CAS 登录号 91856-43-8
分子行输入简码 SMILES [C@H](C(NCC(=O)O)=O)(NC([C@@H](NC([C@H]1NC(CC1)=O)=O)CCC(=O)N)=O)CC(=O)O
国际化学标识码 InChI 1S/C16H23N5O9/c17-10(22)3-1-8(20-15(29)7-2-4-11(23)19-7)16(30)21-9(5-12(24)25)14(28)18-6-13(26)27/h7-9H,1-6H2,(H2,17,22)(H,18,28)(H,19,23)(H,20,29)(H,21,30)(H,24,25)(H,26,27)/t7-,8-,9-/m0/s1
国际化学标识检索码 InChIKey PYLKSIZIVWBTDB-CIUDSAMLSA-N
物理化学性质
密度 1.485g/cm3 (计算值)
沸点 1156.05°C at 760 mmHg (计算值)
闪点 652.955°C (计算值)
市场分析报告
请浏览gamma-(焦谷氨酰-谷氨酰-天冬氨酰胺酰-甘氨酸)酰胺市场分析报告总目录
相关产品
[2-(二硫代羧基氨基)乙基氨基]二硫代甲酸铜盐  2-[2-羟基乙基-(7-甲基-2-苯基-1,8-...  2-[(7-氨基-4-苯基-1,8-二氮萘-2-基...  2-[(5,7-二甲基-1,8-二氮萘-2-基)-...  N,N-双(2-氯乙基)-7-甲基-2-丙基-1,...  二油酰基磷脂酰硫代甘油  二油酰基硫代甘油  顺铂-脱氧腺苷酰-胸苷基-脱氧鸟苷酰-脱氧鸟苷络合...  3-[(E)-2-(5-羟基-3-甲氧基-1-环己...  S-(N-甲基氨基甲酸酯)半胱氨酸乙酯  甲酰基联六苯丙氨酰-苯丙氨酸甲酯  环(脯氨酰苯基甘氨酰-epsilon-氨基己酰)  4-(2-氯-苄基)-1H-咪唑盐酸盐  2-乙烯-4-(羟基甲基)次卟啉 IX  2-(3,4-二羟基苯基)萘并[1,2-d]噻唑