基本信息
| 产品名称 |
1-去氨基-2-色氨酰-4-缬氨酰-8-鸟氨酰-后叶催产素 |
| 英文名 |
1-Deamino-2-Trp-4-Val-8-Orn-oxytocin |
| 别名 |
(2S)-N-[(1S)-4-Amino-1-[(2-Amino-2-Oxo-Ethyl)Carbamoyl]Butyl]-1-[(4R,7S,10S,16R)-7-(2-Amino-2-Oxo-Ethyl)-16-(1H-Indol-3-Ylmethyl)-10-Isopropyl-6,9,12,15,18-Pentaoxo-13-Sec-Butyl-1,2-Dithia-5,8,11,14,17-Pentazacycloicosane-4-Carbonyl]Pyrrolidine-2-Carboxam |
|
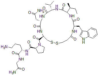
| 分子结构 |
 |
| 分子式 |
C44H66N12O10S2 |
| 分子量 |
987.20 |
| CAS 登录号 |
92407-79-9 |
| 分子行输入简码 SMILES |
[C@@H]4(N(C(=O)[C@H]1NC(=O)[C@@H](NC(=O)[C@@H](NC(=O)C(NC(=O)[C@H](NC(=O)CCSSC1)CC2=C[NH]C3=C2C=CC=C3)[C@H](CC)C)C(C)C)CC(=O)N)CCC4)C(=O)N[C@H](C(=O)NCC(=O)N)CCCN |
| 国际化学标识码 InChI |
1S/C44H66N12O10S2/c1-5-24(4)37-43(65)54-36(23(2)3)42(64)52-30(19-33(46)57)39(61)53-31(44(66)56-16-9-13-32(56)41(63)51-28(12-8-15-45)38(60)49-21-34(47)58)22-68-67-17-14-35(59)50-29(40(62)55-37)18-25-20-48-27-11-7-6-10-26(25)27/h6-7,10-11,20,23-24,28-32,36- |
| 国际化学标识检索码 InChIKey |
LZOGMSOALRSJND-DLRRGPDFSA-N |
|