基本信息
| 产品名称 |
5-氟尿苷半乳糖 5'-二磷酸酯 |
| 英文名 |
5-Fluorouridine 5'-Diphosphate Galactose |
| 别名 |
[[(2R,3S,4R,5R)-5-(5-Fluoro-2,4-Dioxo-Pyrimidin-1-Yl)-3,4-Dihydroxy-Tetrahydrofuran-2-Yl]Methoxy-Hydroxy-Phosphoryl] [(2R,3R,4S,5R,6R)-3,4,5-Trihydroxy-6-(Hydroxymethyl)Tetrahydropyran-2-Yl] Hydrogen Phosphate; [[(2R,3S,4R,5R)-5-(5-Fluoro-2,4-Dioxo-1-Pyrim |
|
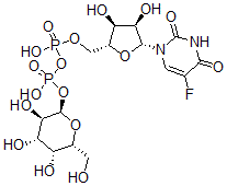
| 分子结构 |
 |
| 分子式 |
C15H23FN2O17P2 |
| 分子量 |
584.30 |
| CAS 登录号 |
92748-40-8 |
| 分子行输入简码 SMILES |
[C@H]1(O[C@@H]([C@@H](O)[C@H]1O)CO[P](O[P](O[C@H]2O[C@@H]([C@H](O)[C@H](O)[C@H]2O)CO)(=O)O)(=O)O)N3C(=O)NC(=O)C(=C3)F |
| 国际化学标识码 InChI |
1S/C15H23FN2O17P2/c16-4-1-18(15(26)17-12(4)25)13-10(23)8(21)6(32-13)3-31-36(27,28)35-37(29,30)34-14-11(24)9(22)7(20)5(2-19)33-14/h1,5-11,13-14,19-24H,2-3H2,(H,27,28)(H,29,30)(H,17,25,26)/t5-,6-,7+,8-,9+,10-,11-,13-,14-/m1/s1 |
| 国际化学标识检索码 InChIKey |
WHZCDJHTQCDILG-FQKYAJAOSA-N |
|