基本信息
| 产品名称 |
胡蜂蜂毒肽 C |
| 英文名 |
Mastoparan C |
| 别名 |
(2S)-N-[(1S)-1-[[(1S)-5-Amino-1-[[(1S)-2-[[(1S)-1-[[(1S)-1-[[(1S)-2-[[(1S)-1-[[(1S)-2-[[(1S)-5-Amino-1-[[(1S)-5-Amino-1-[[(1S,2S)-1-[[(1S)-1-Carbamoyl-3-Methyl-Butyl]Carbamoyl]-2-Methyl-Butyl]Carbamoyl]Pentyl]Carbamoyl]Pentyl]Amino]-2-Keto-1-Methyl-Ethyl] |
|
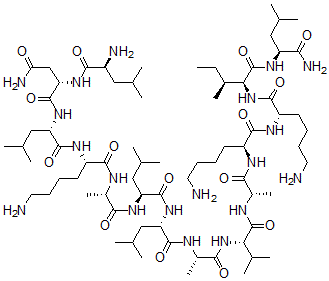
| 分子结构 |
 |
| 分子式 |
C72H135N19O15 |
| 分子量 |
1506.98 |
| CAS 登录号 |
93207-23-9 |
| 分子行输入简码 SMILES |
[C@@H](NC([C@@H](NC([C@@H](NC([C@@H](NC([C@@H](NC([C@@H](NC([C@@H](NC([C@@H](NC([C@@H](NC([C@@H](NC([C@@H](NC([C@@H](NC([C@@H](NC([C@@H](N)CC(C)C)=O)CC(=O)N)=O)CC(C)C)=O)CCCCN)=O)C)=O)CC(C)C)=O)CC(C)C)=O)C)=O)C(C)C)=O)C)=O)CCCCN)=O)CCCCN)=O)[C@@H](C)CC)=O |
| 国际化学标识码 InChI |
1S/C72H135N19O15/c1-18-43(14)58(72(106)85-51(59(78)93)32-38(4)5)91-66(100)50(27-21-24-30-75)83-65(99)49(26-20-23-29-74)82-60(94)45(16)81-71(105)57(42(12)13)90-62(96)46(17)80-67(101)52(33-39(6)7)88-69(103)53(34-40(8)9)86-61(95)44(15)79-64(98)48(25-19-22-28 |
| 国际化学标识检索码 InChIKey |
NNALPYMOQMYVDT-PEXFCOMQSA-N |
|