Online Database of Chemicals from Around the World

[[[5-[2,4-二氧代-5-[(E)-3-[3-[2-[5-(7-氧代-3-硫杂-6,8-二氮杂双环[3.3.0 ]辛-2-基)戊酰氨基]乙基二硫]丙酰氨基]丙-1-烯基]嘧啶-1-基]-3-羟基四氢呋喃-2-基]甲氧基羟基磷酰]氧基羟基磷酰]氧基膦酸
[CAS# 97068-12-7]

供应商
CAS#: 97068-12-7
产品: [[[5-[2,4-二氧代-5-[(E)-3-[3-[2-[5-(7-氧代-3-硫杂-6,8-二氮杂双环[3.3.0 ]辛-2-基)戊酰氨基]乙基二硫]丙酰氨基]丙-1-烯基]嘧啶-1-基]-3-羟基四氢呋喃-2-基]甲氧基羟基磷酰]氧基羟基磷酰]氧基膦酸
暂时没有厂家供应该产品。
基本信息
产品名称 [[[5-[2,4-二氧代-5-[(E)-3-[3-[2-[5-(7-氧代-3-硫杂-6,8-二氮杂双环[3.3.0 ]辛-2-基)戊酰氨基]乙基二硫]丙酰氨基]丙-1-烯基]嘧啶-1-基]-3-羟基四氢呋喃-2-基]甲氧基羟基磷酰]氧基羟基磷酰]氧基膦酸
英文名 [[[5-[2,4-Dioxo-5-[(E)-3-[3-[2-[5-(7-Oxo-3-Thia-6,8-Diazabicyclo[3.3.0 ]Oct-2-Yl)Pentanoylamino]Ethyldisulfanyl]Propanoylamino]Prop-1-Enyl]Pyrimidin-1-Yl]-3-Hydroxy-Oxolan-2-Yl]Methoxy-Hydroxy-Phosphoryl]Oxy-Hydroxy-Phosphoryl]Oxyphosphonic Acid
别名 [5-[2,4-Dioxo-5-[(E)-3-[3-[2-[5-(2-Oxo-1,3,3A,4,6,6A-Hexahydrothieno[3,4-D]Imidazol-6-Yl)Pentanoylamino]Ethyldisulfanyl]Propanoylamino]Prop-1-Enyl]Pyrimidin-1-Yl]-3-Hydroxy-Tetrahydrofuran-2-Yl]Methyl (Hydroxy-Phosphonooxy-Phosphoryl) Hydrogen Phosphate; [
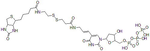
分子结构 CAS 登录号:97068-12-7, [[[5-[2,4-二氧代-5-[(E)-3-[3-[2-[5-(7-氧代-3-硫杂-6,8-二氮杂双环[3.3.0 ]辛-2-基)戊酰氨基]乙基二硫]丙酰氨基]丙-1-烯基]嘧啶-1-基]-3-羟基四氢呋喃-2-基]甲氧基羟基磷酰]氧基羟基磷酰]氧基膦酸
分子式 C27H43N6O17P3S3
分子量 912.77
CAS 登录号 97068-12-7
分子行输入简码 SMILES C(O[P](O[P](O[P](=O)(O)O)(=O)O)(=O)O)C4OC(N1C(=O)NC(=O)C(=C1)\C=C\CNC(=O)CCSSCCNC(=O)CCCCC2SCC3NC(=O)NC23)CC4O
国际化学标识码 InChI 1S/C27H43N6O17P3S3/c34-18-12-23(48-19(18)14-47-52(43,44)50-53(45,46)49-51(40,41)42)33-13-16(25(37)32-27(33)39)4-3-8-28-22(36)7-10-55-56-11-9-29-21(35)6-2-1-5-20-24-17(15-54-20)30-26(38)31-24/h3-4,13,17-20,23-24,34H,1-2,5-12,14-15H2,(H,28,36)(H,29,35)(H,43
国际化学标识检索码 InChIKey OWJRLHWTPUNEQA-ONEGZZNKSA-N
物理化学性质
密度 1.634g/cm3 (计算值)
市场分析报告
请浏览[[[5-[2,4-二氧代-5-[(E)-3-[3-[2-[5-(7-氧代-3-硫杂-6,8-二氮杂双环[3.3.0 ]辛-2-基)戊酰氨基]乙基二硫]丙酰氨基]丙-1-烯基]嘧啶-1-基]-3-羟基四氢呋喃-2-基]甲氧基羟基磷酰]氧基羟基磷酰]氧基膦酸市场分析报告总目录
相关产品
荧光素 N-乙酰基咪唑  爱萨霉素 B  4-甲基-5,6-二羟基色胺  7-甲基-5,6-二羟基色胺  4,7-二甲基-5,6-二羟基色胺  2,4-二硝基-N-(4-硝基苯基)苯胺  1-[3-(3,4,5-三甲氧基苯基)-1-氧代-...  N,N'-双(2,2,6,6-四甲基-4-哌啶基)...  3-胍基氧基丙胺  (4S)-八氢-4abeta-羟基-4alpha,...  1,2,3,4-四氢-1-(2-氟苯基)-6-甲氧...  3-硝基-4-羟基苯基甲基砜  环虫菊酯  Trazinum esilate  N-[2-氯-4-(2-吡咯烷-1-基丙酰基)苯基...