Online Database of Chemicals from Around the World

单-6-O-(P-甲苯磺酰基)-gamma-环糊精
[CAS# 97227-33-3]

供应商
International Laboratory Limited 美国 询价快递  
+1 (650) 278-9963
admin@intlab.org
化学品生产商(2002 年起)
基本信息
产品分类 化学试剂 >> 有机试剂 >> 环糊精
产品名称 单-6-O-(P-甲苯磺酰基)-gamma-环糊精
英文名 Mono-6-O-(P-Toluenesulfonyl)-gamma-Cyclodextrin
别名 Mono-6-O-(p-toluenesulfonyl)-γ-cyclodextrin
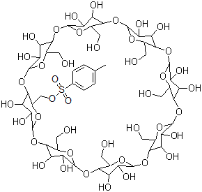
分子结构 CAS 登录号:97227-33-3, 单-6-O-(P-甲苯磺酰基)-gamma-环糊精
分子式 C55H86O42S
分子量 1451.31
CAS 登录号 97227-33-3
分子行输入简码 SMILES Cc1ccc(cc1)S(=O)(=O)OCC2[C@@H]3C([C@@H]([C@H](O2)O[C@@H]4C(O[C@@H]([C@H](C4O)O)O[C@@H]5C(O[C@@H]([C@H](C5O)O)O[C@@H]6C(O[C@@H]([C@H](C6O)O)O[C@@H]7C(O[C@@H]([C@H](C7O)O)O[C@@H]8C(O[C@@H]([C@H](C8O)O)O[C@@H]9C(O[C@@H]([C@H](C9O)O)O[C@@H]1C(O[C@H](O3)[C@H](C1O)O)CO)CO)CO)CO)CO)CO)CO)O)O
国际化学标识码 InChI 1S/C55H86O42S/c1-14-2-4-15(5-3-14)98(79,80)81-13-23-47-31(70)39(78)55(89-23)96-46-22(12-62)87-53(37(76)29(46)68)94-44-20(10-60)85-51(35(74)27(44)66)92-42-18(8-58)83-49(33(72)25(42)64)90-40-16(6-56)82-48(32(71)24(40)63)91-41-17(7-57)84-50(34(73)26(41)65)93-43-19(9-59)86-52(36(75)28(43)67)95-45-21(11-61)88-54(97-47)38(77)30(45)69/h2-5,16-78H,6-13H2,1H3/t16?,17?,18?,19?,20?,21?,22?,23?,24?,25?,26?,27?,28?,29?,30?,31?,32-,33-,34-,35-,36-,37-,38-,39-,40?,41+,42+,43+,44+,45+,46+,47+,48+,49+,50+,51+,52+,53+,54+,55+/m0/s1
国际化学标识检索码 InChIKey DSTZIMMHXKJUSO-MUJMBQOLSA-N
物理化学性质
密度 1.595g/cm3 (计算值)
安全数据
SDS 化学品安全技术说明书参考文本
市场分析报告
请浏览单-6-O-(P-甲苯磺酰基)-gamma-环糊精市场分析报告总目录
相关产品
7-甲基-1H-茚-2-甲醛  二乙基铵(R)-2-(4-氯-2-甲基苯氧基)丙酸...  二乙基铵(S)-2-(4-氯-2-甲基苯氧基)丙酸...  N<sup>5</sup>-{N-[(4-甲基苯基...  1-[1-(1-羟基丁基)环戊基]-2-苯乙酮  3-[羟基(苯基)甲基]-3,4-二甲基-1-苯基...  2,2-二甲基环己烷羰基氯化物  锆(2+)二[2-(2,4,5,7-四溴-3,6-...  3-(2-肼基乙基)-1H-吲哚(2E)-2-丁烯...  甲基 3,6-二-O-苄基-2-脱氧-2-(1,3...  甲基2-乙酰氨基-4-O-(2-乙酰氨基-3,4,...  甲基 2-乙酰氨基-2-脱氧己糖吡喃糖苷-(1->...  甲基 3-O-苄基-2-脱氧-2-(1,3-二氧代...  N-(3-吡啶基甲基)环己胺  2-[3-(苄氧基)-4-甲氧基苯基]-3,7-二...