Online Database of Chemicals from Around the World

(Z)-7-[(1R,2R,3R,5S)-3,5-二羟基-2-[(E,3S)-3-丙酰氧基辛-1-烯基]环戊基]庚-5-烯酸丙-2-基酯
[CAS# 134152-12-8]

供应商
CAS#: 134152-12-8
产品: (Z)-7-[(1R,2R,3R,5S)-3,5-二羟基-2-[(E,3S)-3-丙酰氧基辛-1-烯基]环戊基]庚-5-烯酸丙-2-基酯
暂时没有厂家供应该产品。
基本信息
产品名称 (Z)-7-[(1R,2R,3R,5S)-3,5-二羟基-2-[(E,3S)-3-丙酰氧基辛-1-烯基]环戊基]庚-5-烯酸丙-2-基酯
英文名 Propan-2-Yl (Z)-7-[(1R,2R,3R,5S)-3,5-Dihydroxy-2-[(E,3S)-3-Propanoyloxyoct-1-Enyl]Cyclopentyl]Hept-5-Enoate
别名 Isopropyl (Z)-7-[(1R,2R,3R,5S)-3,5-Dihydroxy-2-[(E,3S)-3-Propanoyloxyoct-1-Enyl]Cyclopentyl]Hept-5-Enoate; (Z)-7-[(1R,2R,3R,5S)-3,5-Dihydroxy-2-[(E,3S)-3-(1-Oxopropoxy)Oct-1-Enyl]Cyclopentyl]Hept-5-Enoic Acid Isopropyl Ester; (Z)-7-[(1R,2R,3R,5S)-3,5-Dihydroxy-2-[(E,3S)-3-Propionyloxyoct-1-Enyl]Cyclopentyl]Hept-5-Enoic Acid Isopropyl Ester
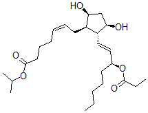
分子结构 CAS 登录号:134152-12-8, (Z)-7-[(1R,2R,3R,5S)-3,5-二羟基-2-[(E,3S)-3-丙酰氧基辛-1-烯基]环戊基]庚-5-烯酸丙-2-基酯
分子式 C26H44O6
分子量 452.63
CAS 登录号 134152-12-8
分子行输入简码 SMILES [C@H]1([C@H]([C@@H](O)C[C@H]1O)C\C=C/CCCC(OC(C)C)=O)\C=C\[C@@H](OC(=O)CC)CCCCC
国际化学标识码 InChI 1S/C26H44O6/c1-5-7-10-13-20(32-25(29)6-2)16-17-22-21(23(27)18-24(22)28)14-11-8-9-12-15-26(30)31-19(3)4/h8,11,16-17,19-24,27-28H,5-7,9-10,12-15,18H2,1-4H3/b11-8-,17-16+/t20-,21+,22+,23-,24+/m0/s1
国际化学标识检索码 InChIKey AVURBUBODITDLQ-GNHNHSQOSA-N
物理化学性质
密度 1.074g/cm3 (计算值)
沸点 541.707°C at 760 mmHg (计算值)
闪点 167.403°C (计算值)
市场分析报告
请浏览(Z)-7-[(1R,2R,3R,5S)-3,5-二羟基-2-[(E,3S)-3-丙酰氧基辛-1-烯基]环戊基]庚-5-烯酸丙-2-基酯市场分析报告总目录
相关产品
2,6-二氟苯基-N-叔丁基硝酮  (2S)-2-氨基-N-[(2S)-1-[[(2S...  2-(羧甲基-(3-磺基丙基)氨基)乙酸  乙酰基胆碱受体alpha-子单元(125-148)  (2-己酰氧基-3-己酰基硫基丙基)2-三甲基铵乙...  4-氨基-2-[4,6-二氨基-3-[6-(氨基甲...  N-环丙基甲基-4,14-二甲氧基吗喃  N-环丙基甲基-4-羟基-14-甲氧基吗喃  3-(2-甲氧基乙基)-2-[2-[[3-(2-甲...  8-(苯磺酰基氨基)-7-吡啶-3-基辛酸  4-甲基-5-硝基噻唑-2(3H)-硫酮  1-乙基萘并[1,2-d]噻唑-2(1H)-硫酮  (2S-(2alpha,11abeta,11bbe...  1,4-二(2,3-环氧丙氧基)丁-2-烯  N-[3-(二甲基氨基)丙基]十七氟辛烷磺酰胺