基本信息
产品名称 |
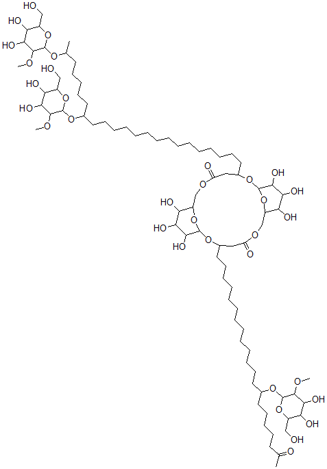
3-(16,22-二(2-O-甲基-beta-D-吡喃葡萄糖基)氧基)二十三烷基)-9,10,11,20,21,22-六羟基-14-(14-(14-((2-O-甲基-beta-D-吡喃葡萄糖基)氧基)-20-氧代二十一烷基)-2,6,13,17,23,24-六氧杂三环(17.3.1.1(8,12))二十四烷-5,16-二酮 |
英文名 |
3-(16,22-Bis(2-O-Methyl-beta-D-Glucopyranosyl)Oxy)Tricosyl)-9,10,11,20,21,22-Hexahydroxy-14-(14-(14-((2-O-Methyl-beta-D-Glucopyranosyl)Oxy)-20-Oxoheneicosyl)-2,6,13,17,23,24-Hexaoxatricyclo(17.3.1.1(8,12))Tetracosane-5,16-Dione |
别名 |
Cycloviracin B2; Cycloviracin-B2 |
|
分子结构 |
 |
分子式 |
C83H150O33 |
分子量 |
1676.08 |
CAS 登录号 |
142382-46-5 |
分子行输入简码 SMILES |
C(C1OC(C(C(C1O)O)OC)OC(CCCCCC(OC2C(C(C(O)C(O2)CO)O)OC)C)CCCCCCCCCCCCCCCC5OC3OC(C(O)C(C3O)O)COC(CC(CCCCCCCCCCCCCC(OC4C(C(C(O)C(O4)CO)O)OC)CCCCCC(C)=O)OC6OC(COC(C5)=O)C(C(O)C6O)O)=O)O |
国际化学标识码 InChI |
1S/C83H150O33/c1-51(87)36-28-26-34-40-53(108-82-77(103-4)72(98)65(91)58(47-85)113-82)38-30-22-19-15-12-9-13-17-21-25-33-43-56-45-63(89)106-50-60-67(93)69(95)74(100)79(115-60)110-55(44-62(88)105-49-61-68(94)70(96)75(101)80(111-56)116-61)42-32-24-20-16-11-8-6-7-10-14-18-23-31-39-54(109-83-78(104-5)73(99)66(92)59(48-86)114-83)41-35-27-29-37-52(2)107-81-76(102-3)71(97)64(90)57(46-84)112-81/h52-61,64-86,90-101H,6-50H2,1-5H3 |
国际化学标识检索码 InChIKey |
XRRQVPARIZEWDY-UHFFFAOYSA-N |
|