Online Database of Chemicals from Around the World

丙酰基红霉素巯基琥珀酸盐
[CAS# 124399-51-5]

供应商
CAS#: 124399-51-5
产品: 丙酰基红霉素巯基琥珀酸盐
暂时没有厂家供应该产品。
基本信息
产品名称 丙酰基红霉素巯基琥珀酸盐
英文名 Propionyl erythromycin mercaptosuccinate
别名 (3R,4S,5S,6R,7R,9R,11R,12R,13S,14R)-6-[(2S,3R,4S,6R)-4-Dimethylamino-3-Hydroxy-6-Methyl-Tetrahydropyran-2-Yl]Oxy-14-Ethyl-7,12,13-Trihydroxy-4-[(2R,4R,5S,6S)-5-Hydroxy-4-Methoxy-4,6-Dimethyl-Tetrahydropyran-2-Yl]Oxy-3,5,7,9,11,13-Hexamethyl-1-Oxacyclotetradecane-2,10-Dione; Propionic Acid; 2-Sulfanylbutanedioic Acid; (3R,4S,5S,6R,7R,9R,11R,12R,13S,14R)-6-[[(2S,3R,4S,6R)-4-Dimethylamino-3-Hydroxy-6-Methyl-2-Tetrahydropyranyl]Oxy]-14-Ethyl-7,12,13-Trihydroxy-4-[[(2R,4R,5S,6S)-5-Hydroxy-4-Methoxy-4,6-Dimethyl-2-Tetrahydropyranyl]Oxy]-3,5,7,9,11,13-Hexamethyl-1-Oxacyclotetradecane-2,10-Dione; 2-Mercaptobutanedioic Acid; Propionic Acid
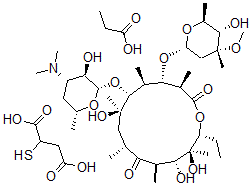
分子结构 CAS 登录号:124399-51-5, 丙酰基红霉素巯基琥珀酸盐
分子式 C44H79NO19S
分子量 958.16
CAS 登录号 124399-51-5
分子行输入简码 SMILES [C@@H]3(O[C@@H]1O[C@@H](C[C@H](N(C)C)[C@H]1O)C)[C@H]([C@H](O[C@@H]2O[C@H]([C@H](O)[C@](OC)(C2)C)C)[C@H](C(O[C@@H]([C@@](O)([C@H](O)[C@H](C(=O)[C@@H](C[C@]3(O)C)C)C)C)CC)=O)C)C.C(C(S)C(=O)O)C(=O)O.C(C(=O)O)C
国际化学标识码 InChI 1S/C37H67NO13.C4H6O4S.C3H6O2/c1-14-25-37(10,45)30(41)20(4)27(39)18(2)16-35(8,44)32(51-34-28(40)24(38(11)12)15-19(3)47-34)21(5)29(22(6)33(43)49-25)50-26-17-36(9,46-13)31(42)23(7)48-26;5-3(6)1-2(9)4(7)8;1-2-3(4)5/h18-26,28-32,34,40-42,44-45H,14-17H2,1-13H3;2,9H,1H2,(H,5,6)(H,7,8);2H2,1H3,(H,4,5)/t18-,19-,20+,21+,22-,23+,24+,25-,26+,28-,29+,30-,31+,32-,34+,35-,36-,37-;;/m1../s1
国际化学标识检索码 InChIKey BKKRRHRHFZPQSJ-INORWZNNSA-N
物理化学性质
沸点 818.4°C at 760 mmHg (计算值)
闪点 448.8°C (计算值)
市场分析报告
请浏览丙酰基红霉素巯基琥珀酸盐市场分析报告总目录
相关产品
普伐他汀二氢二醇  1,25-二羟基-16-烯-维他命D3  山梨醇酐  蒽环抗生素A  2-氨基-3-羟基-2-[3-[(E)-10-氧代...  4-叔丁基-6-氯哒嗪-3-甲腈  1-(2-氯-6-甲基苯基)-3-吡啶-4-基脲盐...  2-乙酰氨基-2-呋喃-2-基-N-(苯基甲基)乙...  2-乙酰氨基-N-[(4-氟苯基)甲基]-2-呋喃...  3-(5-环丙基-1,2,4-恶二唑-3-基)-5...  1-[(2R,3S,5S)-3-氟-5-(羟基甲基...  1-[(2R,3S,4R,5S)-4-叠氮基-3-...  二铈二氧化物硫化物  三乙酰基蒽环抗生素A  8-氟-4-[2-(4-苯基苯基)乙氧基]喹唑啉