Online Database of Chemicals from Around the World

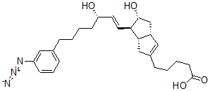
5-[(3aS,5R,6R,6aS)-6-[(E,3S)-7-(3-叠氮基苯基)-3-羟基庚-1-烯基]-5-羟基-1,3a,4,5,6,6a-六氢戊搭烯-2-基]戊酸
[CAS# 140900-65-8]

供应商
CAS#: 140900-65-8
产品: 5-[(3aS,5R,6R,6aS)-6-[(E,3S)-7-(3-叠氮基苯基)-3-羟基庚-1-烯基]-5-羟基-1,3a,4,5,6,6a-六氢戊搭烯-2-基]戊酸
暂时没有厂家供应该产品。
基本信息
产品名称 5-[(3aS,5R,6R,6aS)-6-[(E,3S)-7-(3-叠氮基苯基)-3-羟基庚-1-烯基]-5-羟基-1,3a,4,5,6,6a-六氢戊搭烯-2-基]戊酸
英文名 5-[(3aS,5R,6R,6aS)-6-[(E,3S)-7-(3-Azidophenyl)-3-Hydroxyhept-1-Enyl]-5-Hydroxy-1,3a,4,5,6,6a-Hexahydropentalen-2-Yl]Pentanoic Acid
别名 5-[(3As,5R,6R,6As)-6-[(E,3S)-7-(3-Azidophenyl)-3-Hydroxy-Hept-1-Enyl]-5-Hydroxy-1,3A,4,5,6,6A-Hexahydropentalen-2-Yl]Pentanoic Acid; 5-[(3As,5R,6R,6As)-6-[(E,3S)-7-(3-Azidophenyl)-3-Hydroxy-Hept-1-Enyl]-5-Hydroxy-1,3A,4,5,6,6A-Hexahydropentalen-2-Yl]Valeric Acid; (3H)Apnic
分子结构 CAS 登录号:140900-65-8, 5-[(3aS,5R,6R,6aS)-6-[(E,3S)-7-(3-叠氮基苯基)-3-羟基庚-1-烯基]-5-羟基-1,3a,4,5,6,6a-六氢戊搭烯-2-基]戊酸
分子式 C26H35N3O4
分子量 453.58
CAS 登录号 140900-65-8
分子行输入简码 SMILES [N+](=NC1=CC(=CC=C1)CCCC[C@H](O)/C=C/[C@@H]2[C@@H]3[C@H](C[C@H]2O)C=C(C3)CCCCC(=O)O)=[N-]
国际化学标识码 InChI 1S/C26H35N3O4/c27-29-28-21-9-5-8-18(15-21)6-1-3-10-22(30)12-13-23-24-16-19(7-2-4-11-26(32)33)14-20(24)17-25(23)31/h5,8-9,12-15,20,22-25,30-31H,1-4,6-7,10-11,16-17H2,(H,32,33)/b13-12+/t20-,22-,23+,24-,25+/m0/s1
国际化学标识检索码 InChIKey XKQBJDHJRVDQBU-DHLVSJIASA-N
市场分析报告
请浏览5-[(3aS,5R,6R,6aS)-6-[(E,3S)-7-(3-叠氮基苯基)-3-羟基庚-1-烯基]-5-羟基-1,3a,4,5,6,6a-六氢戊搭烯-2-基]戊酸市场分析报告总目录
相关产品
环戊酮二甲基腙  10-(羟基亚胺)-9,10-二氢蒽-9-酮  2,4-辛烷二酮  (3S,6R,12S,15R)-3-[(2S)-丁...  alpha-[[(3-甲氧基丙基)氨基]甲基]-a...  1-苯基-3-(甲基氨基)-2-丁烯-1-酮  N-[3-甲基-1-[[(1S)-1-(4-甲基苯...  2-[2-(2-氨基-2-氧代乙基)庚酰]-1-羟...  2-[3-[(5,7-二氟-1,3-苯并噻唑-2-...  2-[4-氧代-3-[[5-(三氟甲基)-1,3-...  钙-40  钴-56  Balhimycin  (E)-N-[2-[[2-[[(2S)-1-[[(...  2-[(2,6-二乙基苯基)-(甲氧基甲基)氨基]...