Online Database of Chemicals from Around the World

alpha-D-异糖精酸
[CAS# 1518-54-3]

供应商
International Laboratory Limited 美国 询价快递  
+1 (650) 278-9963
admin@intlab.org
化学品生产商(2002 年起)
基本信息
产品名称 alpha-D-异糖精酸
英文名 alpha-D-Isosaccharinic Acid
别名 2,4,5-Trihydroxy-2-Methylol-Valeric Acid; Beta-Glucoisosaccharinic Acid; 3-Deoxy-2-C-(Hydroxymethyl)-D-Erythro-Pentonic Acid
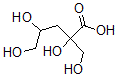
分子结构 CAS 登录号:1518-54-3, alpha-D-异糖精酸
分子式 C6H12O6
分子量 180.16
CAS 登录号 1518-54-3 (1518-56-5)
分子行输入简码 SMILES C(C(C(=O)O)(O)CO)C(O)CO
国际化学标识码 InChI 1S/C6H12O6/c7-2-4(9)1-6(12,3-8)5(10)11/h4,7-9,12H,1-3H2,(H,10,11)
国际化学标识检索码 InChIKey SGOVJIDEXZEOTB-UHFFFAOYSA-N
物理化学性质
密度 1.599g/cm3 (计算值)
沸点 583.849°C at 760 mmHg (计算值)
闪点 320.939°C (计算值)
市场分析报告
请浏览alpha-D-异糖精酸市场分析报告总目录
相关产品
3,3'-二乙基-2,2'-氧杂硫杂碳菁碘化物  2-(2,4-二氟苯基)-3-甲基-1-(1,2,...  二乙基铵二乙基二硫代氨基甲酸盐  3,4-二羟基丁酸  2,4-二羟基-丁酸  11-((O-6-脱氧-3-O-(3-羟基-2-甲...  月光花素alpha-2B  2-(3-甲基-2-丁烯基)-3-甲基呋喃  (4R,5S,6S,7R)-5,6-二羟基-1,3...  2-硝基-5-[(4Z,8Z,12Z,16Z)-5...  [(2R,3S,4R,5R)-5-(6-氨基嘌呤-...  1,3,3-三氯丁烷  2-(羟基甲基)-2-苯基茚-1,3-二酮  4-环戊基苯酚  羟基安非他命