Online Database of Chemicals from Around the World

(2E,6E)-3,7,11-三甲基-2,6,10-十二碳三烯腈
[CAS# 29789-67-1]

供应商
CAS#: 29789-67-1
产品: (2E,6E)-3,7,11-三甲基-2,6,10-十二碳三烯腈
暂时没有厂家供应该产品。
基本信息
产品名称 (2E,6E)-3,7,11-三甲基-2,6,10-十二碳三烯腈
英文名 (2E,6E)-3,7,11-Trimethyl-2,6,10-Dodecatrienenitrile
别名 3,7,11-TRIMETHYL-2,6,10-DODECATRIENENITRILE
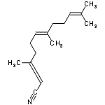
分子结构 CAS 登录号:29789-67-1, (2E,6E)-3,7,11-三甲基-2,6,10-十二碳三烯腈
分子式 C15H23N
分子量 217.35
CAS 登录号 29789-67-1
分子行输入简码 SMILES CC(=CCC/C(=C/CC/C(=C/C#N)/C)/C)C
国际化学标识码 InChI 1S/C15H23N/c1-13(2)7-5-8-14(3)9-6-10-15(4)11-12-16/h7,9,11H,5-6,8,10H2,1-4H3/b14-9+,15-11+
国际化学标识检索码 InChIKey KNFDAUYLUSORSX-YFVJMOTDSA-N
物理化学性质
密度 0.87g/cm3 (计算值)
沸点 335.509°C at 760 mmHg (计算值)
闪点 157.415°C (计算值)
折射率 1.482 (计算值)
市场分析报告
请浏览(2E,6E)-3,7,11-三甲基-2,6,10-十二碳三烯腈市场分析报告总目录
相关产品
甲基3-[5-[(Z)-(3-乙基-4-甲基-5-...  3-[2-[(Z)-[3-(2-羧基乙基)-5-[...  2-呋喃基(1H-咪唑-1-基)甲酮  5,5-二甲基庚酸  N<sup>1</sup>,N<sup>1</su...  1-(4-氯苯基)-2-丙炔-1-醇  4-甲基十一烷  1,1'-(1,4-丁烷二基)二环戊烷  4-异氰基苯甲腈  1-(3-异氰基苯基)乙酮  1-氟-4-(1-异氰基乙基)苯  1-异氰基-2,3-二甲基苯  1,3-二(2-羟基丙基)-5,5-二甲基-2,4...  1-氨基-3,3-二甲基环丁烷羧酸  1-甲基-1,2,3,4-四氢-8-喹啉胺