Online Database of Chemicals from Around the World

3,4-二氯-1,2,3-三甲基环丁烯
[CAS# 344242-51-9]

供应商
深圳爱拓化学有限公司 中国 询价快递  
+86 13417589054//+86 13424336463
info@atomaxchem.com,atomax.chemicals@gmail.com,
QQ 交流
化学品生产商
基本信息
产品名称 3,4-二氯-1,2,3-三甲基环丁烯
英文名 3,4-Dichloro-1,2,3-Trimethylcyclobutene
别名 3,4-dichloro-1,2,3-trimethylcyclobut-1-ene
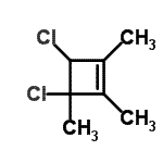
分子结构 CAS 登录号:344242-51-9, 3,4-二氯-1,2,3-三甲基环丁烯
分子式 C7H10Cl2
分子量 165.06
CAS 登录号 344242-51-9
分子行输入简码 SMILES CC1=C(C(C1Cl)(C)Cl)C
国际化学标识码 InChI 1S/C7H10Cl2/c1-4-5(2)7(3,9)6(4)8/h6H,1-3H3
国际化学标识检索码 InChIKey UFYRZVQGCZKBDT-UHFFFAOYSA-N
物理化学性质
密度 1.155g/cm3 (计算值)
沸点 181.296°C at 760 mmHg (计算值)
闪点 56.801°C (计算值)
折射率 1.493 (计算值)
市场分析报告
请浏览3,4-二氯-1,2,3-三甲基环丁烯市场分析报告总目录
相关产品
(3Z)-5,6-二甲氧基-3-(2,3,4-三甲...  2-甲基环戊烷羰基氯化物  4-肼基-1-硫基-1H-1,2,3-三唑-5-胺  3-丙基-1,3-恶唑-2(3H)-酮  2-(羟基甲基)-1-吡咯烷甲醛  甲基3-氧代-1-丁炔-1-基碳酸酯  甲基2,5-二氢-1,2,4-三嗪-3-羧酸酯  2-异丁基-2-甲基-3-乙烯基环氧乙烷  乙基1-羟基-2-甲基环丙烷羧酸酯  5-氨基-4,6-二甲基-2(1H)-嘧啶酮  2-甲基-2-(2-甲基-2-丙基)-3-乙烯基环...  1-(2,4-二甲基-1,3-二氧戊环-4-基)乙...  2-羟基环己烷甲酰胺  (3-异丙基-2-环氧乙烷基)(三甲基)硅烷  2-(甲氧基甲基)-1-吡咯烷甲醛