Online Database of Chemicals from Around the World

D-半乳糖-1,6-13C2
[CAS# 478518-64-8]

供应商
Alfa Chemistry 美国 询价快递  
+1 (201) 478-8534
inquiry@alfa-chemistry.com
化学品供销商(2012 年起)
chemBlink 标准供应商(2012 年起)
BOC Sciences 美国 询价快递  
+1 (631) 485-4226
info@bocsci.com
Skype 聊天
化学品供销商
chemBlink 集群供应商(2012 年起)
International Laboratory Limited 美国 询价快递  
+1 (650) 278-9963
admin@intlab.org
化学品生产商(2002 年起)
Omicron Biochemicals, Inc. 美国 询价快递  
+1 (574) 287-6910
omicron@omicronbio.com
化学品生产商
基本信息
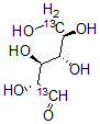
产品名称 D-半乳糖-1,6-13C2
英文名 D-Galactose-1,6-13C2
分子结构 CAS 登录号:478518-64-8, D-半乳糖-1,6-13C2
CAS 登录号 478518-64-8
市场分析报告
请浏览D-半乳糖-1,6-13C2市场分析报告总目录
相关产品
D-半乳糖-3-C-D  2,6-脱水-5-脱氧-D-阿拉伯糖-己-5-烯糖...  alpha-D-吡喃半乳糖-1-13C1-(磷酸二...  alpha-D-吡喃半乳糖-2-13C1-(磷酸二...  1,6-脱水-beta-D-吡喃葡萄糖 碳-13 ...  2-脱氧-2-氟-D-葡萄糖-1-13C  3-脱氧-3-氟-D-葡萄糖-1-13C  alpha-D-[1-13C]吡喃葡萄糖基 1-磷...  L-葡萄糖-1-13C  D-葡萄糖-1,3-13C2  D-葡萄糖-1,2,3-13C3  D-葡萄糖-6-13C-6,6-C-D2  3-O-甲基-D-葡萄糖-6-13C  1,5-脱水-2-脱氧-D-阿拉伯糖-己-1-烯糖...  尿苷 5'-(三氢二磷酸酯) P'-(alpha-...