Online Database of Chemicals from Around the World

羧甲基-辅酶A
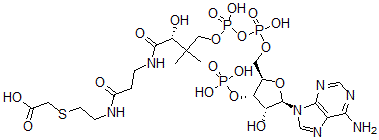
[CAS# 79955-48-9]

供应商
CAS#: 79955-48-9
产品: 羧甲基-辅酶A
暂时没有厂家供应该产品。
基本信息
产品名称 羧甲基-辅酶A
英文名 Carboxymethyl-Coenzyme A
别名 2-[2-[3-[[(2R)-4-[[[(2R,3S,4R,5R)-5-(6-Aminopurin-9-Yl)-4-Hydroxy-3-Phosphonooxy-Tetrahydrofuran-2-Yl]Methoxy-Hydroxy-Phosphoryl]Oxy-Hydroxy-Phosphoryl]Oxy-2-Hydroxy-3,3-Dimethyl-Butanoyl]Amino]Propanoylamino]Ethylsulfanyl]Acetic Acid; 2-[2-[[3-[[(2R)-4-[[[(2R,3S,4R,5R)-5-(6-Amino-9-Purinyl)-4-Hydroxy-3-Phosphonooxy-2-Tetrahydrofuranyl]Methoxy-Hydroxyphosphoryl]Oxy-Hydroxyphosphoryl]Oxy-2-Hydroxy-3,3-Dimethyl-1-Oxobutyl]Amino]-1-Oxopropyl]Amino]Ethylthio]Acetic Acid; 2-[2-[3-[[(2R)-4-[[[(2R,3S,4R,5R)-5-(6-Aminopurin-9-Yl)-4-Hydroxy-3-Phosphonooxy-Tetrahydrofuran-2-Yl]Methoxy-Hydroxy-Phosphoryl]Oxy-Hydroxy-Phosphoryl]Oxy-2-Hydroxy-3,3-Dimethyl-Butanoyl]Amino]Propanoylamino]Ethylthio]Acetic Acid
分子结构 CAS 登录号:79955-48-9, 羧甲基-辅酶A
分子式 C23H38N7O18P3S
分子量 825.57
CAS 登录号 79955-48-9
分子行输入简码 SMILES [C@H]1(O[C@@H]([C@@H](O[P](=O)(O)O)[C@H]1O)CO[P](O[P](OCC([C@@H](O)C(=O)NCCC(=O)NCCSCC(=O)O)(C)C)(=O)O)(=O)O)[N]2C3=C(N=C2)C(=NC=N3)N
国际化学标识码 InChI 1S/C23H38N7O18P3S/c1-23(2,18(35)21(36)26-4-3-13(31)25-5-6-52-8-14(32)33)9-45-51(42,43)48-50(40,41)44-7-12-17(47-49(37,38)39)16(34)22(46-12)30-11-29-15-19(24)27-10-28-20(15)30/h10-12,16-18,22,34-35H,3-9H2,1-2H3,(H,25,31)(H,26,36)(H,32,33)(H,40,41)(H,42,43)(H2,24,27,28)(H2,37,38,39)/t12-,16-,17-,18+,22-/m1/s1
国际化学标识检索码 InChIKey OBUOSIHPWVNVJN-GRFIIANRSA-N
物理化学性质
密度 1.95g/cm3 (计算值)
市场分析报告
请浏览羧甲基-辅酶A市场分析报告总目录
相关产品
2-(甲基-亚硝基-氨基甲酰)氧乙基N-甲基-N-...  1-(3-苯并呋喃基)-4-苄基哌嗪  [3-[3-[[5-(3,4-二氯苯基)呋喃-2-...  [3-[3-[[5-[4-氯-3-(三氟甲基)苯基...  乙酰基磺胺曲罗  1,2-4,4-二氟肉豆蔻酰基-Sn-甘油-3-磷...  5-氟尿苷二磷酸酯葡萄糖  4,4'-异亚丙基二(2-叔丁基苯酚)  1,2-二甲基-4-苯基-4-(丙酰氧基)哌啶  Isotheoline  4,4'-异亚丙基二[O-氯苯酚]  锇二(2,2'-联吡啶)氯化物  (3beta)-3-((6-脱氧-alpha-L-...  强啡肽(1-11)  强啡肽(1-12)