Online Database of Chemicals from Around the World

Fengycin
[CAS# 102577-03-7]

Suppliers
Creative Peptides USA Inquire  
+1 (631) 624-4882
info@creative-peptides.com
Chemical manufacturer
chemBlink massive supplier since 2016
Identification
Name Fengycin
Synonyms Fengycin
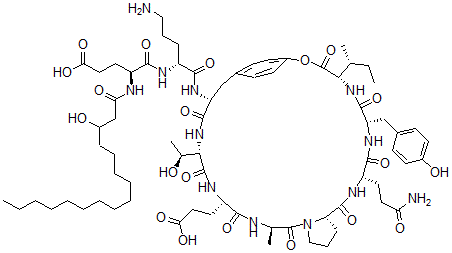
Molecular Structure CAS#: 102577-03-7, Fengycin
Molecular Formula C72H110N12O20
Molecular Weight 1463.73
CAS Registry Number 102577-03-7
SMILES [C@H]12N(CCC1)C(=O)[C@H](NC(=O)[C@@H](NC(=O)[C@@H](NC(=O)[C@H](NC(=O)[C@H](NC(=O)[C@@H](NC(=O)CC(O)CCCCCCCCCCCCC)CCC(O)=O)CCCN)CC4=CC=C(OC(=O)[C@@H](NC(=O)[C@@H](NC(=O)[C@@H](NC2=O)CCC(=O)N)CC3=CC=C(O)C=C3)[C@@H](CC)C)C=C4)[C@@H](O)C)CCC(O)=O)C
InChI 1S/C72H110N12O20/c1-6-8-9-10-11-12-13-14-15-16-17-20-48(87)41-58(89)76-51(32-35-59(90)91)65(96)77-50(21-18-37-73)64(95)80-55-40-46-25-29-49(30-26-46)104-72(103)61(42(3)7-2)82-67(98)54(39-45-23-27-47(86)28-24-45)81-66(97)52(31-34-57(74)88)78-69(100)56-22-19-38-84(56)71(102)43(4)75-63(94)53(33-36-60(92)93)79-70(101)62(44(5)85)83-68(55)99/h23-30,42-44,48,50-56,61-62,85-87H,6-22,31-41,73H2,1-5H3,(H2,74,88)(H,75,94)(H,76,89)(H,77,96)(H,78,100)(H,79,101)(H,80,95)(H,81,97)(H,82,98)(H,83,99)(H,90,91)(H,92,93)/t42-,43-,44+,48?,50-,51+,52+,53+,54+,55-,56+,61+,62+/m1/s1
InChIKey CUOJDWBMJMRDHN-RLLVTFBRSA-N
Market Analysis Reports
List of Reports Available for Fengycin
Related Products
Perdolan  (2S)-N-(2-Aminoacetyl)-2-[[(2E)-2-(Carba...  [[(3R,4S,5S,6R)-3,4,5-Trihydroxy-6-(Hydr...  1-Phenyl-3,4-Dihydro-2H-Quinolin-4-Amine  Bryostatin 8  (2S)-2-[[(2S)-2-Amino-3-Phenylpropanoyl]...  6-Chloro-1-(3-Dimethylaminopropyl)-3-Met...  2-(Bis(2-Hydroxyethyl)Amino)Ethanol; 2-P...  ((4-Fluorophenyl)Sulfonyl)-Acetic Acid C...  2-(Bis(2-Hydroxyethyl)Amino)Ethanol 2-(2...  4-[(E)-2-(2,6-Dimethylphenyl)Ethenyl]-3H...  [1-(2-Methoxyphenyl)Propan-2-Ylamino]-Pr...  Bis(2-Hydroxyethyl)-Methyl-Tridecylazani...  N-(4-Phenyldiazenylphenyl)-4,5-Dihydro-1...  (6E)-6-[(2,2-Dimethylhydrazinyl)Methylid...