Online Database of Chemicals from Around the World

(2S,3S,4S,5R)-5-[[[[(2R,3S,4R,5R)-5-(6-Aminopurin-9-Yl)-3,4-Dihydroxyoxolan-2-Yl]Methoxy-Hydroxyphosphoryl]Oxy-Hydroxyphosphoryl]Oxymethyl]-2-(3-Carbamoylpyridin-1-Ium-1-Yl)-4-Hydroxyoxolan-3-Olate
[CAS# 108646-17-9]

Suppliers
CAS#: 108646-17-9
Product: (2S,3S,4S,5R)-5-[[[[(2R,3S,4R,5R)-5-(6-Aminopurin-9-Yl)-3,4-Dihydroxyoxolan-2-Yl]Methoxy-Hydroxyphosphoryl]Oxy-Hydroxyphosphoryl]Oxymethyl]-2-(3-Carbamoylpyridin-1-Ium-1-Yl)-4-Hydroxyoxolan-3-Olate
No suppilers available for the product.
Identification
Name (2S,3S,4S,5R)-5-[[[[(2R,3S,4R,5R)-5-(6-Aminopurin-9-Yl)-3,4-Dihydroxyoxolan-2-Yl]Methoxy-Hydroxyphosphoryl]Oxy-Hydroxyphosphoryl]Oxymethyl]-2-(3-Carbamoylpyridin-1-Ium-1-Yl)-4-Hydroxyoxolan-3-Olate
Synonyms (2S,3S,4S,5R)-5-[[[[(2R,3S,4R,5R)-5-(6-Aminopurin-9-Yl)-3,4-Dihydroxy-Tetrahydrofuran-2-Yl]Methoxy-Hydroxy-Phosphoryl]Oxy-Hydroxy-Phosphoryl]Oxymethyl]-2-(3-Carbamoylpyridin-1-Ium-1-Yl)-4-Hydroxy-Tetrahydrofuran-3-Olate; (2S,3S,4S,5R)-5-[[[[(2R,3S,4R,5R)-5-(6-Amino-9-Purinyl)-3,4-Dihydroxy-2-Tetrahydrofuranyl]Methoxy-Hydroxyphosphoryl]Oxy-Hydroxyphosphoryl]Oxymethyl]-2-(3-Carbamoyl-1-Pyridin-1-Iumyl)-4-Hydroxy-3-Tetrahydrofuranolate; (2S,3S,4S,5R)-2-(3-Aminocarbonylpyridin-1-Ium-1-Yl)-5-[[[[(2R,3S,4R,5R)-5-(6-Aminopurin-9-Yl)-3,4-Dihydroxy-Oxolan-2-Yl]Methoxy-Hydroxy-Phosphoryl]Oxy-Hydroxy-Phosphoryl]Oxymethyl]-4-Hydroxy-Oxolan-3-Olate
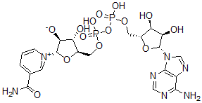
Molecular Structure CAS#: 108646-17-9, (2S,3S,4S,5R)-5-[[[[(2R,3S,4R,5R)-5-(6-Aminopurin-9-Yl)-3,4-Dihydroxyoxolan-2-Yl]Methoxy-Hydroxyphosphoryl]Oxy-Hydroxyphosphoryl]Oxymethyl]-2-(3-Carbamoylpyridin-1-Ium-1-Yl)-4-Hydroxyoxolan-3-Olate
Molecular Formula C21H27N7O14P2
Molecular Weight 663.43
CAS Registry Number 108646-17-9
SMILES [C@H]1(O[C@@H]([C@@H](O)[C@H]1O)CO[P](O[P](OC[C@H]3O[C@H]([N+]2=CC(=CC=C2)C(=O)N)[C@@H]([O-])[C@@H]3O)(=O)O)(=O)O)[N]4C5=C(N=C4)C(=NC=N5)N
InChI 1S/C21H27N7O14P2/c22-17-12-19(25-7-24-17)28(8-26-12)21-16(32)14(30)11(41-21)6-39-44(36,37)42-43(34,35)38-5-10-13(29)15(31)20(40-10)27-3-1-2-9(4-27)18(23)33/h1-4,7-8,10-11,13-16,20-21,29-30,32H,5-6H2,(H2,23,33)(H,34,35)(H,36,37)(H2,22,24,25)/t10-,11-,13-,14-,15+,16-,20+,21-/m1/s1
InChIKey VOXRVZMOBSLKFE-DUYCQTTQSA-N
Market Analysis Reports
List of Reports Available for (2S,3S,4S,5R)-5-[[[[(2R,3S,4R,5R)-5-(6-Aminopurin-9-Yl)-3,4-Dihydroxyoxolan-2-Yl]Methoxy-Hydroxyphosphoryl]Oxy-Hydroxyphosphoryl]Oxymethyl]-2-(3-Carbamoylpyridin-1-Ium-1-Yl)-4-Hydroxyoxolan-3-Olate
Related Products
(8R,9S,13S,14S)-17-Ethynyl-13-Methyl-7,8...  (2R)-2-[(4-Fluorophenoxy)Methyl]Oxirane  2'-Sulfanylidenespiro[2,4-Dihydro-1H-Nap...  6-(4-O-beta-D-glucopyranosyl-beta-D-gluc...  2,3,7,19-Tetrahydroxyurs-12-en-28-oic ac...  2-[[6,8-Dibromo-3-(2-Chlorophenyl)-4-Oxo...  (1R,2S,6R)-2-Morpholin-4-Yl-6-(Phenoxy)C...  (1R,2S,6R)-2-[4-(3-Methoxyphenyl)Piperaz...  1-(10-(3-(4-Methyl-1-piperazinyl)propyl)...  (Z)-2-Diazonio-1-[(2R,3R,4S,5R,6R)-3,4,5...  Sergolexole  Sergolexole Maleate  2-[4-[4-(4-Fluorophenyl)Piperazin-1-Yl]B...  (2S)-2-Amino-N-[(2S,5R,7E,9E,11R,13S)-2-...  2-Hydrazinyl-N-(6-Methoxy-1,3-Benzothiaz...