Online Database of Chemicals from Around the World

(2S,3R,4S,5R,6S)-3,4,5-Trihydroxy-6-[(2R,3R,4S,5R)-2,3,4,5-Tetrahydroxy-6-Oxohexoxy]Oxane-2-Carboxylic Acid
[CAS# 109280-58-2]

Suppliers
CAS#: 109280-58-2
Product: (2S,3R,4S,5R,6S)-3,4,5-Trihydroxy-6-[(2R,3R,4S,5R)-2,3,4,5-Tetrahydroxy-6-Oxohexoxy]Oxane-2-Carboxylic Acid
No suppilers available for the product.
Identification
Name (2S,3R,4S,5R,6S)-3,4,5-Trihydroxy-6-[(2R,3R,4S,5R)-2,3,4,5-Tetrahydroxy-6-Oxohexoxy]Oxane-2-Carboxylic Acid
Synonyms (2S,3R,4S,5R,6S)-3,4,5-Trihydroxy-6-[(2R,3R,4S,5R)-2,3,4,5-Tetrahydroxy-6-Oxo-Hexoxy]Tetrahydropyran-2-Carboxylic Acid; (2S,3R,4S,5R,6S)-3,4,5-Trihydroxy-6-[(2R,3R,4S,5R)-2,3,4,5-Tetrahydroxy-6-Oxohexoxy]-2-Tetrahydropyrancarboxylic Acid; (2S,3R,4S,5R,6S)-3,4,5-Trihydroxy-6-[(2R,3R,4S,5R)-2,3,4,5-Tetrahydroxy-6-Keto-Hexoxy]Tetrahydropyran-2-Carboxylic Acid
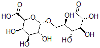
Molecular Structure CAS#: 109280-58-2, (2S,3R,4S,5R,6S)-3,4,5-Trihydroxy-6-[(2R,3R,4S,5R)-2,3,4,5-Tetrahydroxy-6-Oxohexoxy]Oxane-2-Carboxylic Acid
Molecular Formula C12H20O12
Molecular Weight 356.28
CAS Registry Number 109280-58-2
SMILES [C@H]1([C@H]([C@H]([C@H](O[C@@H]1OC[C@H]([C@H]([C@@H]([C@H](C=O)O)O)O)O)C(=O)O)O)O)O
InChI 1S/C12H20O12/c13-1-3(14)5(16)6(17)4(15)2-23-12-9(20)7(18)8(19)10(24-12)11(21)22/h1,3-10,12,14-20H,2H2,(H,21,22)/t3-,4+,5+,6+,7-,8+,9+,10-,12-/m0/s1
InChIKey NBTUEARNKVTGKY-RBAZEOKYSA-N
Properties
Density 1.784g/cm3 (Cal.)
Boiling point 841.165°C at 760 mmHg (Cal.)
Flash point 312.02°C (Cal.)
Market Analysis Reports
List of Reports Available for (2S,3R,4S,5R,6S)-3,4,5-Trihydroxy-6-[(2R,3R,4S,5R)-2,3,4,5-Tetrahydroxy-6-Oxohexoxy]Oxane-2-Carboxylic Acid
Related Products
1,4-Dimethyl-7-Oxabicyclo[2.2.1]Heptane-...  (1S,4R,5S,6R)-1,4-Dimethyl-7-Oxabicyclo[...  (3aalpha,4beta,7beta,7aalpha)-Hexahydro-...  [4-[5-(4-Azaniumylphenoxy)Pentoxy]Phenyl...  Methyl 2-(3,6-Diamino-4-Iodo-9H-Xanthen-...  2-methyl-2-Propenoic acid polymer with e...  2-[N-[(3,5-Difluorophenyl)Carbamoylamino...  1-Oxacycloheptadecan-2-One  (8beta)-8-((Methylseleno)Methyl)-6-Propy...  8-Iodomethyl-6-propylergoline  3-[(E)-But-2-Enoyl]-1,3-Oxazolidin-2-One  4a,5a,9a,9b-tetrahydrodibenzofuran dibro...  Mecambrine  N-(2-Methylhexan-2-Yl)-2-Piperidin-1-Yla...  5-(1-Phenylbut-3-Enyl)-1,3,5-Tri(Prop-2-...