Online Database of Chemicals from Around the World

Dehydrosoyasaponin I
[CAS# 117210-14-7]

Suppliers
CAS#: 117210-14-7
Product: Dehydrosoyasaponin I
No suppilers available for the product.
Identification
Name Dehydrosoyasaponin I
Synonyms (2S,3S,4S,5R)-6-[[(3S,4S,4Ar,6Ar,6Bs,8Ar,12As,14Ar,14Br)-4-(Hydroxymethyl)-4,6A,6B,8A,11,11,14B-Heptamethyl-9-Oxo-2,3,4A,5,6,7,8,10,12,12A,14,14A-Dodecahydro-1H-Picen-3-Yl]Oxy]-5-[(2S,3R,4S,5R,6R)-4,5-Dihydroxy-6-(Hydroxymethyl)-3-[(2S,3R,4R,5R,6S)-3,4,5-Trihydroxy-6-Methyl-Tetrahydropyran-2-Yl]Oxy-Tetrahydropyran-2-Yl]Oxy-3,4-Dihydroxy-Tetrahydropyran-2-Carboxylic Acid; (2S,3S,4S,5R)-6-[[(3S,4S,4Ar,6Ar,6Bs,8Ar,12As,14Ar,14Br)-4-(Hydroxymethyl)-4,6A,6B,8A,11,11,14B-Heptamethyl-9-Oxo-2,3,4A,5,6,7,8,10,12,12A,14,14A-Dodecahydro-1H-Picen-3-Yl]Oxy]-5-[[(2S,3R,4S,5R,6R)-4,5-Dihydroxy-6-(Hydroxymethyl)-3-[[(2S,3R,4R,5R,6S)-3,4,5-Trihydroxy-6-Methyl-2-Tetrahydropyranyl]Oxy]-2-Tetrahydropyranyl]Oxy]-3,4-Dihydroxy-2-Tetrahydropyrancarboxylic Acid; (2S,3S,4S,5R)-6-[[(3S,4S,4Ar,6Ar,6Bs,8Ar,12As,14Ar,14Br)-9-Keto-4,6A,6B,8A,11,11,14B-Heptamethyl-4-Methylol-2,3,4A,5,6,7,8,10,12,12A,14,14A-Dodecahydro-1H-Picen-3-Yl]Oxy]-5-[(2S,3R,4S,5R,6R)-4,5-Dihydroxy-6-Methylol-3-[(2S,3R,4R,5R,6S)-3,4,5-Trihydroxy-6-Methyl-Tetrahydropyran-2-Yl]Oxy-Tetrahydropyran-2-Yl]Oxy-3,4-Dihydroxy-Tetrahydropyran-2-Carboxylic Acid
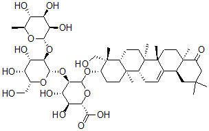
Molecular Structure CAS#: 117210-14-7, Dehydrosoyasaponin I
Molecular Formula C48H76O18
Molecular Weight 941.12
CAS Registry Number 117210-14-7
SMILES [C@@H]14[C@]([C@]2(C(=CC1)[C@H]3[C@@](CC2)(C(=O)CC(C3)(C)C)C)C)(CC[C@@H]8[C@@]4(CC[C@H](OC5O[C@@H]([C@@H](O)[C@H](O)[C@H]5O[C@@H]6O[C@@H]([C@H](O)[C@H](O)[C@H]6O[C@@H]7O[C@H]([C@H](O)[C@@H](O)[C@H]7O)C)CO)C(=O)O)[C@@]8(CO)C)C)C
InChI 1S/C48H76O18/c1-21-29(52)31(54)35(58)40(61-21)65-37-32(55)30(53)24(19-49)62-41(37)66-38-34(57)33(56)36(39(59)60)64-42(38)63-28-12-13-45(5)25(46(28,6)20-50)11-14-48(8)26(45)10-9-22-23-17-43(2,3)18-27(51)44(23,4)15-16-47(22,48)7/h9,21,23-26,28-38,40-42,49-50,52-58H,10-20H2,1-8H3,(H,59,60)/t21-,23-,24+,25+,26+,28-,29-,30-,31+,32-,33-,34-,35+,36-,37+,38+,40-,41-,42?,44+,45-,46+,47+,48+/m0/s1
InChIKey CROUPKILZUPLQA-MVVLPMKLSA-N
Properties
Density 1.415g/cm3 (Cal.)
Boiling point 1024.918°C at 760 mmHg (Cal.)
Flash point 292.026°C (Cal.)
Market Analysis Reports
List of Reports Available for Dehydrosoyasaponin I
Related Products
1-(7,8-Dihydro-6-Hydroxy-6-Methyl-8-(3,4...  Brain Natriuretic Peptide-32  5-Oxoprolylhistidylprolinamide  2-Methyl-4-Carboxy-5-Hydroxy-3,4,5,6-Tet...  Parotid Salivary Histidine-Rich Polypept...  2-(2-Chloro-6-Methylphenyl)-5-Methyl-4H-...  3-Pyroglutamylthiazolidine-4-Carboxylic ...  Iganidipine hydrochloride  Benadrostin  Tetracenomycin D3  Tetracenomycin B3  N-Acetyl-8-Deoxyneuraminic Acid  4-O-Benzyl-L-Rhamnal  2-(Trimethylsilyl)Ethyl beta-Galactopyra...  2-Nitroimidazole-1-Acetohydroxamic Acid