Identification
| Name |
1,2-Dipalmitoyloxypropyl-3-(2'-Hydroxypropyl-3'-(1'',2''-Dipalmitoylglycerol))Biphosphonate |
| Synonyms |
[3-[2,3-Di(Hexadecanoyloxy)Propoxy-Hydroxy-Phosphoryl]-2-Hydroxy-Propoxy]-[2,3-Di(Hexadecanoyloxy)Propyl]Phosphinic Acid; [3-[2,3-Bis(1-Oxohexadecoxy)Propoxy-Hydroxyphosphoryl]-2-Hydroxypropoxy]-[2,3-Bis(1-Oxohexadecoxy)Propyl]Phosphinic Acid; 1,2-Dipalmitoyloxypropyl-3-(2'-Hydroxypropyl-3'-(1'',2''-Dipalmitoylglycerol))Biphosphonate |
|
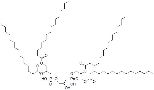
| Molecular Structure |
 |
| Molecular Formula |
C73H142O15P2 |
| Molecular Weight |
1321.86 |
| CAS Registry Number |
119206-59-6 |
| SMILES |
C([P](OCC(O)C[P](OCC(OC(=O)CCCCCCCCCCCCCCC)COC(=O)CCCCCCCCCCCCCCC)(=O)O)(=O)O)C(OC(=O)CCCCCCCCCCCCCCC)COC(=O)CCCCCCCCCCCCCCC |
| InChI |
1S/C73H142O15P2/c1-5-9-13-17-21-25-29-33-37-41-45-49-53-57-70(75)83-62-68(87-72(77)59-55-51-47-43-39-35-31-27-23-19-15-11-7-3)64-86-89(79,80)65-67(74)61-85-90(81,82)66-69(88-73(78)60-56-52-48-44-40-36-32-28-24-20-16-12-8-4)63-84-71(76)58-54-50-46-42-38-34-30-26-22-18-14-10-6-2/h67-69,74H,5-66H2,1-4H3,(H,79,80)(H,81,82) |
| InChIKey |
IJSJVXWTEUYOAU-UHFFFAOYSA-N |
|