Online Database of Chemicals from Around the World

tert-Butyloxycarbonyl-tyrosyl-aminohexanoyl-glycyl-tryptophyl-aminohexanoyl-aspartyl phenylethyl ester
[CAS# 119733-42-5]

Suppliers
CAS#: 119733-42-5
Product: tert-Butyloxycarbonyl-tyrosyl-aminohexanoyl-glycyl-tryptophyl-aminohexanoyl-aspartyl phenylethyl ester
No suppilers available for the product.
Identification
Name tert-Butyloxycarbonyl-tyrosyl-aminohexanoyl-glycyl-tryptophyl-aminohexanoyl-aspartyl phenylethyl ester
Synonyms (3S)-3-[6-[[(2S)-2-[[2-[6-[[(2S)-2-(Tert-Butoxycarbonylamino)-3-(4-Sulfooxyphenyl)Propanoyl]Amino]Hexanoylamino]Acetyl]Amino]-3-(1H-Indol-3-Yl)Propanoyl]Amino]Hexanoylamino]-4-[[(1S)-3-Hydroxy-3-Oxo-1-(2-Phenylethoxycarbonyl)Propyl]Amino]-4-Oxo-Butanoic Acid; (3S)-3-[[6-[[(2S)-2-[[2-[[6-[[(2S)-2-[(Tert-Butoxy-Oxomethyl)Amino]-1-Oxo-3-(4-Sulfooxyphenyl)Propyl]Amino]-1-Oxohexyl]Amino]-1-Oxoethyl]Amino]-3-(1H-Indol-3-Yl)-1-Oxopropyl]Amino]-1-Oxohexyl]Amino]-4-[[(1S)-3-Hydroxy-3-Oxo-1-[Oxo-(2-Phenylethoxy)Methyl]Propyl]Amino]-4-Oxobutanoic Acid; (3S)-3-[6-[[(2S)-2-[[2-[6-[[(2S)-2-(Tert-Butoxycarbonylamino)-3-(4-Sulfoxyphenyl)Propanoyl]Amino]Hexanoylamino]Acetyl]Amino]-3-(1H-Indol-3-Yl)Propanoyl]Amino]Hexanoylamino]-4-[[(1S)-3-Hydroxy-3-Keto-1-(2-Phenylethoxycarbonyl)Propyl]Amino]-4-Keto-Butyric Acid
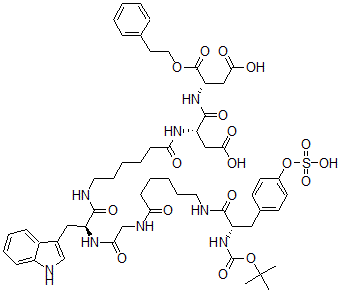
Molecular Structure CAS#: 119733-42-5, tert-Butyloxycarbonyl-tyrosyl-aminohexanoyl-glycyl-tryptophyl-aminohexanoyl-aspartyl phenylethyl ester
Molecular Formula C55H72N8O18S
Molecular Weight 1165.28
CAS Registry Number 119733-42-5
SMILES [C@H](NC(=O)CNC(=O)CCCCCNC(=O)[C@@H](NC(OC(C)(C)C)=O)CC1=CC=C(O[S](=O)(=O)O)C=C1)(CC2=C[NH]C3=CC=CC=C23)C(=O)NCCCCCC(=O)N[C@H](C(=O)N[C@H](C(OCCC4=CC=CC=C4)=O)CC(=O)O)CC(=O)O
InChI 1S/C55H72N8O18S/c1-55(2,3)80-54(75)63-41(29-36-21-23-38(24-22-36)81-82(76,77)78)50(71)56-26-13-5-9-19-45(64)59-34-47(66)61-42(30-37-33-58-40-18-12-11-17-39(37)40)51(72)57-27-14-6-10-20-46(65)60-43(31-48(67)68)52(73)62-44(32-49(69)70)53(74)79-28-25-35-15-7-4-8-16-35/h4,7-8,11-12,15-18,21-24,33,41-44,58H,5-6,9-10,13-14,19-20,25-32,34H2,1-3H3,(H,56,71)(H,57,72)(H,59,64)(H,60,65)(H,61,66)(H,62,73)(H,63,75)(H,67,68)(H,69,70)(H,76,77,78)/t41-,42-,43-,44-/m0/s1
InChIKey PFMXXIJBGKRAJY-ITMZJIMRSA-N
Properties
Density 1.341g/cm3 (Cal.)
Market Analysis Reports
List of Reports Available for tert-Butyloxycarbonyl-tyrosyl-aminohexanoyl-glycyl-tryptophyl-aminohexanoyl-aspartyl phenylethyl ester
Related Products
6-[[(1S,4S)-4-(3,4-Dichlorophenyl)-1,2,3...  (Z)-2-Methyl-3-Phenylprop-2-Enenitrile  3,5-Diethylphenol  (4R,6E)-6-[(3S,4S)-3-Bromo-4-Chloro-4-Me...  (4R,6E)-6-[(3S,4S)-4-Bromo-3-Chloro-4-Me...  N,N-Dibutyl-4-[(1E,3E)-4-[1-(3-Diethylam...  2-(Furan-2-Ylmethyl)Furan  Roxindole mesilate  2-[(E)-2-(4-Amino-2-Sulfophenyl)Ethenyl]...  2-Chloro-N-[[(2S)-2,3-Dihydro-1,4-Benzod...  N-(Phenylmethyl)Prop-2-Yn-1-Amine  2H-[1,2]Thiazolo[5,4-b]Indole  (2-Methoxy-3,5,6-Trimethyloxan-4-Yl) Ben...  (4-Chlorophenyl)-carbamodithioic acid mo...  3-O-(Galactopyranosyl-(1,2)-galactopyran...