Online Database of Chemicals from Around the World

Periplocoside K
[CAS# 119902-16-8]

Suppliers
CAS#: 119902-16-8
Product: Periplocoside K
No suppilers available for the product.
Identification
Name Periplocoside K
Synonyms 2-[[17-[1-[5'-[5-[5-[5-(3,5-Dihydroxy-4-Methoxy-6-Methyl-Tetrahydropyran-2-Yl)Oxy-4-Methoxy-6-Methyl-Tetrahydropyran-2-Yl]Oxy-4-Hydroxy-6-Methyl-Tetrahydropyran-2-Yl]Oxy-4-Hydroxy-6-Methyl-Tetrahydropyran-2-Yl]Oxy-4'-Methoxy-6',9-Dimethyl-Spiro[4,5A,6,7,9,9A-Hexahydropyrano[4,5-F][1,2,5]Trioxepine-3,2'-Tetrahydropyran]-7-Yl]Oxyethyl]-17-Hydroxy-10,13-Dimethyl-1,2,3,4,7,8,9,11,12,14,15,16-Dodecahydrocyclopenta[A]Phenanthren-3-Yl]Oxy]-4-Methoxy-6-Methyl-6H-Pyran-3-One; 2-[[17-[1-[[5'-[[5-[[5-[[5-[(3,5-Dihydroxy-4-Methoxy-6-Methyl-2-Tetrahydropyranyl)Oxy]-4-Methoxy-6-Methyl-2-Tetrahydropyranyl]Oxy]-4-Hydroxy-6-Methyl-2-Tetrahydropyranyl]Oxy]-4-Hydroxy-6-Methyl-2-Tetrahydropyranyl]Oxy]-4'-Methoxy-6',9-Dimethyl-7-Spiro[4,5A,6,7,9,9A-Hexahydropyrano[4,5-F][1,2,5]Trioxepine-3,2'-Tetrahydropyran]Yl]Oxy]Ethyl]-17-Hydroxy-10,13-Dimethyl-1,2,3,4,7,8,9,11,12,14,15,16-Dodecahydrocyclopenta[A]Phenanthren-3-Yl]Oxy]-4-Methoxy-6-Methyl-6H-Pyran-3-One; 2-[[17-[1-[5'-[5-[5-[5-(3,5-Dihydroxy-4-Methoxy-6-Methyl-Oxan-2-Yl)Oxy-4-Methoxy-6-Methyl-Oxan-2-Yl]Oxy-4-Hydroxy-6-Methyl-Oxan-2-Yl]Oxy-4-Hydroxy-6-Methyl-Oxan-2-Yl]Oxy-4'-Methoxy-6',9-Dimethyl-Spiro[4,5A,6,7,9,9A-Hexahydropyrano[4,5-F][1,2,5]Trioxepine-3,2'-Oxane]-7-Yl]Oxyethyl]-17-Hydroxy-10,13-Dimethyl-1,2,3,4,7,8,9,11,12,14,15,16-Dodecahydrocyclopenta[A]Phenanthren-3-Yl]Oxy]-4-Methoxy-6-Methyl-6H-Pyran-3-One
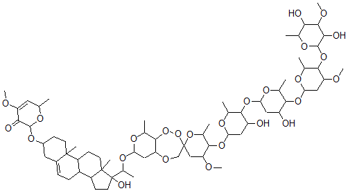
Molecular Structure CAS#: 119902-16-8, Periplocoside K
Molecular Formula C68H108O26
Molecular Weight 1341.59
CAS Registry Number 119902-16-8
SMILES CC8%10C(C(OC2OC(C1OOC7(COC1C2)OC(C(OC3OC(C)C(C(C3)O)OC4OC(C)C(C(C4)O)OC6OC(C(OC5C(C(OC)C(C(O5)C)O)O)C(C6)OC)C)C(C7)OC)C)C)C)(CCC8C9CC=C%12C(C9CC%10)(CCC(OC%11C(C(=CC(O%11)C)OC)=O)C%12)C)O
InChI 1S/C68H108O26/c1-31-23-46(75-11)55(72)63(80-31)87-40-17-20-65(9)39(24-40)15-16-41-42(65)18-21-66(10)43(41)19-22-68(66,74)38(8)86-52-28-48-61(36(6)84-52)93-94-67(30-79-48)29-49(77-13)60(37(7)92-67)90-51-26-45(70)57(33(3)82-51)88-50-25-44(69)58(34(4)81-50)89-53-27-47(76-12)59(35(5)83-53)91-64-56(73)62(78-14)54(71)32(2)85-64/h15,23,31-38,40-45,47-54,56-64,69-71,73-74H,16-22,24-30H2,1-14H3
InChIKey FDCCEOXJPADEMN-UHFFFAOYSA-N
Properties
Density 1.332g/cm3 (Cal.)
Market Analysis Reports
List of Reports Available for Periplocoside K
Related Products
Periplocoside F  Capsular Polysaccharide Type 6, Actinoba...  1,4-Dihydroquinoxaline-2,3-Dithione  9-Deoxy-9-(propylamino)erythromycin  1-Stearoyl-2-Arachidonoylphosphatidic Ac...  1-Palmitoyl-2-Arachidonoyl Plasmalogen P...  4(5)-(2-Amino-1-Hydroxyethyl)Imidazole  5-(2-Aminoethyl)Benzene-1,2,4-Triol Hydr...  4-Ethoxyphenyl Chloroacetate  (2E)-2-(Nitrosomethylidene)-3H-1,3-Benzo...  N-(3-Hydroxy-alpha-Methyl-L-Tyrosyl)-L-P...  Mercaptomethyl-4-Methylpentanoyl-Phenyla...  1-Chloro-4-Methylsulfanyl-2-Nitrobenzene  2-(6'-Carboxyhexyl)-3-N-Hexylcyclohexyla...  (2S,12bS)-1',3'-dimethylspiro[1,3,4,6,7,...