Online Database of Chemicals from Around the World

Toxin II, cyanobacterium
[CAS# 120011-66-7]

Suppliers
International Laboratory Limited USA Inquire  
+1 (650) 278-9963
admin@intlab.org
Chemical manufacturer since 2002
LKT Laboratories, Inc. USA Inquire  
+1 (888) 558-5227
peacerli@mbolin-lktlabs.com
Chemical manufacturer
Identification
Name Toxin II, cyanobacterium
Synonyms (5R,8S,11R,15S,18S,19S,22R)-15-(3-Guanidinopropyl)-8-Isobutyl-18-[(1E,3E,5S,6S)-6-Methoxy-3,5-Dimethyl-7-Phenyl-Hepta-1,3-Dienyl]-1,5,19-Trimethyl-2-Methylene-3,6,9,13,16,20,25-Heptaoxo-1,4,7,10,14,17,21-Heptazacyclopentacosane-11,22-Dicarboxylic Acid; (5R,8S,11R,15S,18S,19S,22R)-15-(3-Guanidinopropyl)-8-Isobutyl-18-[(1E,3E,5S,6S)-6-Methoxy-3,5-Dimethyl-7-Phenylhepta-1,3-Dienyl]-1,5,19-Trimethyl-2-Methylene-3,6,9,13,16,20,25-Heptaoxo-1,4,7,10,14,17,21-Heptazacyclopentacosane-11,22-Dicarboxylic Acid; (5R,8S,11R,15S,18S,19S,22R)-15-(3-Guanidinopropyl)-8-Isobutyl-3,6,9,13,16,20,25-Heptaketo-18-[(1E,3E,5S,6S)-6-Methoxy-3,5-Dimethyl-7-Phenyl-Hepta-1,3-Dienyl]-1,5,19-Trimethyl-2-Methylene-1,4,7,10,14,17,21-Heptazacyclopentacosane-11,22-Dicarboxylic Acid
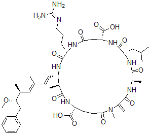
Molecular Structure CAS#: 120011-66-7, Toxin II, cyanobacterium
Molecular Formula C48H72N10O12
Molecular Weight 981.16
CAS Registry Number 120011-66-7
SMILES [C@H]1(NC(=O)[C@@H](NC(=O)C[C@@H](NC(=O)[C@@H](NC(=O)[C@H](NC(=O)C(N(C(=O)CC[C@@H](NC(=O)[C@H]1C)C(O)=O)C)=C)C)CC(C)C)C(O)=O)CCCN=C(N)N)\C=C\C(=C\[C@@H]([C@@H](OC)CC2=CC=CC=C2)C)C
InChI 1S/C48H72N10O12/c1-26(2)22-36-45(65)57-37(47(68)69)25-39(59)53-34(16-13-21-51-48(49)50)44(64)54-33(18-17-27(3)23-28(4)38(70-9)24-32-14-11-10-12-15-32)29(5)41(61)55-35(46(66)67)19-20-40(60)58(8)31(7)43(63)52-30(6)42(62)56-36/h10-12,14-15,17-18,23,26,28-30,33-38H,7,13,16,19-22,24-25H2,1-6,8-9H3,(H,52,63)(H,53,59)(H,54,64)(H,55,61)(H,56,62)(H,57,65)(H,66,67)(H,68,69)(H4,49,50,51)/b18-17+,27-23+/t28-,29-,30+,33-,34-,35+,36-,37+,38-/m0/s1
InChIKey VYEBKSHVYPDMQQ-MREVJOSWSA-N
Properties
Density 1.307g/cm3 (Cal.)
Market Analysis Reports
List of Reports Available for Toxin II, cyanobacterium
Related Products
Disodium Dioxido-Dioxo-Chromium  1-Nitro-7,8,9,10-Tetrahydrobenzo[a]Pyren...  2-[(4-Chlorophenyl)Methoxy]Ethanol  2-Azido-3,8-Dimethylimidazo[5,4-h]Quinox...  Artelinic Acid  (2S)-N-[(2S)-1-[[(2S)-1-Amino-1-Oxopropa...  Sucrose Monoallyl Ether  Dipropylene Glycol Methyl Ether  2-[[4-(Carbamoylamino)Phenyl]-(Carboxyme...  1-Chloro-4-Methylsulfonylsulfanylbenzene  2-(4-Methylphenyl)-1H-Benzimidazole  Lithium Aluminate  Molybdenum Aluminide  Raney Nickel  (6Z)-1-Methyl-6-[(2,4,5-Trimethoxy-3-Met...