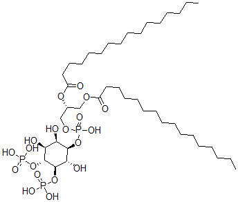
Identification
| Name |
1,2-Dipalmitoyl-L-alpha-phosphatidyl-D-myo-inositol 4,5-bisphosphate |
| Synonyms |
[(2R)-2-Hexadecanoyloxy-3-[Hydroxy-[(1R,2R,3S,4R,5R,6S)-2,3,6-Trihydroxy-4,5-Diphosphonooxy-Cyclohexoxy]Phosphoryl]Oxy-Propyl] Hexadecanoate; Hexadecanoic Acid [(2R)-3-[Hydroxy-[(1R,2R,3S,4R,5R,6S)-2,3,6-Trihydroxy-4,5-Diphosphonooxycyclohexoxy]Phosphoryl]Oxy-2-(1-Oxohexadecoxy)Propyl] Ester; Palmitic Acid [(2R)-2-Hexadecanoyloxy-3-[Hydroxy-[(1R,2R,3S,4R,5R,6S)-2,3,6-Trihydroxy-4,5-Diphosphonooxy-Cyclohexoxy]Phosphoryl]Oxy-Propyl] Ester |
|
| Molecular Structure |
 |
| Molecular Formula |
C41H81O19P3 |
| Molecular Weight |
971.00 |
| CAS Registry Number |
120595-88-2 |
| SMILES |
[C@H]1(O[P](=O)(O)O)[C@H](O[P](=O)(O)O)[C@@H](O)[C@@H](O)[C@@H](O[P](OC[C@H](OC(=O)CCCCCCCCCCCCCCC)COC(=O)CCCCCCCCCCCCCCC)(=O)O)[C@@H]1O |
| InChI |
1S/C41H81O19P3/c1-3-5-7-9-11-13-15-17-19-21-23-25-27-29-34(42)55-31-33(57-35(43)30-28-26-24-22-20-18-16-14-12-10-8-6-4-2)32-56-63(53,54)60-39-36(44)37(45)40(58-61(47,48)49)41(38(39)46)59-62(50,51)52/h33,36-41,44-46H,3-32H2,1-2H3,(H,53,54)(H2,47,48,49)(H2,50,51,52)/t33-,36-,37+,38+,39-,40-,41-/m1/s1 |
| InChIKey |
HKWJHKSHEWVOSS-MRQSADPDSA-N |
|