Online Database of Chemicals from Around the World

Peptide 31D
[CAS# 122289-52-5]

Suppliers
CAS#: 122289-52-5
Product: Peptide 31D
No suppilers available for the product.
Identification
Name Peptide 31D
Synonyms L-Alanyl-L-Valyl-L-Tyrosyl-L-Threonyl-L-Arginyl-L-Isoleucyl-L-Methionyl-L-Methionyl-L-Asparaginylglycylglycyl-L-Arginyl-L-Leucyl-L-Lysyl-L-Arginine; L-Arginine, L-Alanyl-L-Valyl-L-Tyrosyl-L-Threonyl-L-Arginyl-L-Isoleucyl-L-Methionyl-L-Methionyl-L-Asparaginylglycylglycyl-L-Arginyl-L-Leucyl-L-Lysyl-; Peptide 31D
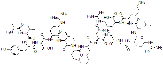
Molecular Structure CAS#: 122289-52-5, Peptide 31D
Molecular Formula C75H132N26O19S2
Molecular Weight 1766.15
CAS Registry Number 122289-52-5
SMILES [C@@H](NC([C@@H](NC([C@@H](NC([C@@H](N)C)=O)C(C)C)=O)CC1=CC=C(C=C1)O)=O)(C(=O)N[C@H](C(N[C@H](C(=O)N[C@H](C(N[C@H](C(=O)N[C@H](C(NCC(=O)NCC(N[C@H](C(=O)N[C@H](C(N[C@H](C(N[C@H](C(O)=O)CCCNC(N)=N)=O)CCCCN)=O)CC(C)C)CCCNC(N)=N)=O)=O)CC(=O)N)CCSC)=O)CCSC)[C@@H](C)CC)=O)CCCNC(N)=N)[C@H](O)C
InChI 1S/C75H132N26O19S2/c1-11-40(6)58(100-66(113)47(19-15-29-86-74(81)82)93-71(118)59(42(8)102)101-68(115)52(34-43-21-23-44(103)24-22-43)98-69(116)57(39(4)5)99-60(107)41(7)77)70(117)94-49(26-32-122-10)64(111)92-48(25-31-121-9)65(112)97-53(35-54(78)104)61(108)89-36-55(105)88-37-56(106)90-45(18-14-28-85-73(79)80)62(109)96-51(33-38(2)3)67(114)91-46(17-12-13-27-76)63(110)95-50(72(119)120)20-16-30-87-75(83)84/h21-24,38-42,45-53,57-59,102-103H,11-20,25-37,76-77H2,1-10H3,(H2,78,104)(H,88,105)(H,89,108)(H,90,106)(H,91,114)(H,92,111)(H,93,118)(H,94,117)(H,95,110)(H,96,109)(H,97,112)(H,98,116)(H,99,107)(H,100,113)(H,101,115)(H,119,120)(H4,79,80,85)(H4,81,82,86)(H4,83,84,87)/t40-,41-,42+,45-,46-,47-,48-,49-,50-,51-,52-,53-,57-,58-,59-/m0/s1
InChIKey SOLCKDUKYAMXBE-UPOCGCHASA-N
Properties
Density 1.44g/cm3 (Cal.)
Market Analysis Reports
List of Reports Available for Peptide 31D
Related Products
(3Z,6Z)-3-(2-Methylpropylidene)-6-(Pheny...  3',4'-Dimethoxybiphenyl-4-Carboxylic Aci...  (E)-3-(4-Nitrophenyl)-1-Phenylprop-2-En-...  Eglin C (60-63)  (2S)-4-[[(1S,4aR,6S,8R,8aR)-2-[(2S,3S)-2...  Gallium Dodecaboride  Magnesium Dodecaboride  1-Naphthylacetylspermine  N,N-Dimethylsphingosine  4-Bromo-2-(3,4-Dichlorophenyl)-5-((6-Iod...  Beryllium Selenide  Beryllium Telluride  N-(5-Vinyl-1,3-Thiazolidin-2-Ylidene)Phe...  3-Hydroxy-2-Ureido-Butyric Acid  Bismuth Germanium Oxide