Online Database of Chemicals from Around the World

Cryptophycin 1
[CAS# 124689-65-2]

Suppliers
CAS#: 124689-65-2
Product: Cryptophycin 1
No suppilers available for the product.
Identification
Name Cryptophycin 1
Synonyms (3S,6R,10R,13E,16S)-10-[(3-Chloro-4-Methoxy-Phenyl)Methyl]-3-Isobutyl-6-Methyl-16-[(1S)-1-[(2R,3R)-3-Phenyloxiran-2-Yl]Ethyl]-1,4-Dioxa-8,11-Diazacyclohexadec-13-Ene-2,5,9,12-Tetrone; (3S,6R,10R,13E,16S)-10-[(3-Chloro-4-Methoxyphenyl)Methyl]-3-Isobutyl-6-Methyl-16-[(1S)-1-[(2R,3R)-3-Phenyl-2-Oxiranyl]Ethyl]-1,4-Dioxa-8,11-Diazacyclohexadec-13-Ene-2,5,9,12-Tetrone; (3S,6R,10R,13E,16S)-10-(3-Chloro-4-Methoxy-Benzyl)-3-Isobutyl-6-Methyl-16-[(1S)-1-[(2R,3R)-3-Phenyloxiran-2-Yl]Ethyl]-1,4-Dioxa-8,11-Diazacyclohexadec-13-Ene-2,5,9,12-Diquinone
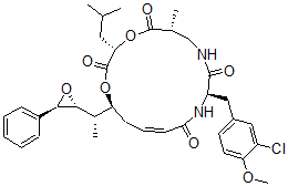
Molecular Structure CAS#: 124689-65-2, Cryptophycin 1
Molecular Formula C35H43ClN2O8
Molecular Weight 655.19
CAS Registry Number 124689-65-2
SMILES [C@@H]1(O[C@@H]1C2=CC=CC=C2)[C@H]([C@H]3OC(=O)[C@@H](OC(=O)[C@@H](CNC(=O)[C@H](NC(=O)/C=C/C3)CC4=CC=C(OC)C(=C4)Cl)C)CC(C)C)C
InChI 1S/C35H43ClN2O8/c1-20(2)16-29-35(42)44-27(22(4)31-32(46-31)24-10-7-6-8-11-24)12-9-13-30(39)38-26(33(40)37-19-21(3)34(41)45-29)18-23-14-15-28(43-5)25(36)17-23/h6-11,13-15,17,20-22,26-27,29,31-32H,12,16,18-19H2,1-5H3,(H,37,40)(H,38,39)/b13-9+/t21-,22+,26-,27+,29+,31-,32-/m1/s1
InChIKey PSNOPSMXOBPNNV-VVCTWANISA-N
Properties
Density 1.2±0.1g/cm3 (Cal.)
Boiling point 889.4±65.0°C at 760 mmHg (Cal.)
Flash point 491.7±34.3°C (Cal.)
References
(1) Weiß Christine, Bogner Tobias, Sammet Benedikt, Sewald Norbert. Total synthesis and biological evaluation of fluorinated cryptophycins, Beilstein Journal of Organic Chemistry, 2012
Market Analysis Reports
List of Reports Available for Cryptophycin 1
Related Products
Protein Kinase Inhibitor Peptide (1-31)  (E)-1-(2,4-Dihydroxy-3-Methoxyphenyl)-3-...  (E)-1-(2,4-Dihydroxy-3-Methoxyphenyl)-3-...  1-Acetyl-2,3-Dihydro-2,6,11-Trihydroxy-4...  2-[[4-[[4-[(2,4-Diaminopteridin-6-Yl)Met...  Diphenoxydiphenylsilane  1,2,3,4-Tetrabromo-6,7,8,9-Tetrachloroox...  7-Ethyl-chenodeoxycholic acid  7-Propyl-chenodeoxycholic acid  3-Methylbutyl 4-[2-(Difluoromethoxy)Phen...  2-[[2-(Acetylsulfanylmethyl)-3-Phenylpro...  [(2R,3R,4R,5R)-4-Acetyloxy-5-(Acetyloxym...  4-Dimethylaminobenzenediazonium 3-Carbox...  4-Amino-5-Chloro-1-[(2R,5S)-5-(Hydroxyme...  17beta-Acetoxy-3-Methoxy-9-Oxo-9,11-Seco...