Online Database of Chemicals from Around the World

3-Tolylacetyl-coenzyme A
[CAS# 124900-43-2]

Suppliers
CAS#: 124900-43-2
Product: 3-Tolylacetyl-coenzyme A
No suppilers available for the product.
Identification
Name 3-Tolylacetyl-coenzyme A
Synonyms S-[2-[3-[[(2R)-4-[[[(2R,3S,4R,5R)-5-(6-Aminopurin-9-Yl)-4-Hydroxy-3-Phosphonooxy-Tetrahydrofuran-2-Yl]Methoxy-Hydroxy-Phosphoryl]Oxy-Hydroxy-Phosphoryl]Oxy-2-Hydroxy-3,3-Dimethyl-Butanoyl]Amino]Propanoylamino]Ethyl] 2-(3-Methylphenyl)Ethanethioate; 2-(3-Methylphenyl)Ethanethioic Acid S-[2-[[3-[[(2R)-4-[[[(2R,3S,4R,5R)-5-(6-Amino-9-Purinyl)-4-Hydroxy-3-Phosphonooxy-2-Tetrahydrofuranyl]Methoxy-Hydroxyphosphoryl]Oxy-Hydroxyphosphoryl]Oxy-2-Hydroxy-3,3-Dimethyl-1-Oxobutyl]Amino]-1-Oxopropyl]Amino]Ethyl] Ester; 2-(3-Methylphenyl)Ethanethioic Acid S-[2-[3-[[(2R)-4-[[[(2R,3S,4R,5R)-5-(6-Aminopurin-9-Yl)-4-Hydroxy-3-Phosphonooxy-Tetrahydrofuran-2-Yl]Methoxy-Hydroxy-Phosphoryl]Oxy-Hydroxy-Phosphoryl]Oxy-2-Hydroxy-3,3-Dimethyl-Butanoyl]Amino]Propanoylamino]Ethyl] Ester
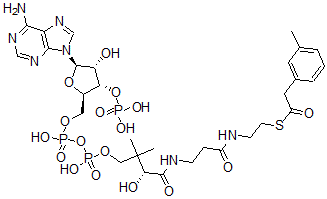
Molecular Structure CAS#: 124900-43-2, 3-Tolylacetyl-coenzyme A
Molecular Formula C30H44N7O17P3S
Molecular Weight 899.70
CAS Registry Number 124900-43-2
SMILES [C@H]1(O[C@@H]([C@@H](O[P](=O)(O)O)[C@H]1O)CO[P](O[P](OCC([C@@H](O)C(=O)NCCC(=O)NCCSC(=O)CC2=CC(=CC=C2)C)(C)C)(=O)O)(=O)O)[N]3C4=C(N=C3)C(=NC=N4)N
InChI 1S/C30H44N7O17P3S/c1-17-5-4-6-18(11-17)12-21(39)58-10-9-32-20(38)7-8-33-28(42)25(41)30(2,3)14-51-57(48,49)54-56(46,47)50-13-19-24(53-55(43,44)45)23(40)29(52-19)37-16-36-22-26(31)34-15-35-27(22)37/h4-6,11,15-16,19,23-25,29,40-41H,7-10,12-14H2,1-3H3,(H,32,38)(H,33,42)(H,46,47)(H,48,49)(H2,31,34,35)(H2,43,44,45)/t19-,23-,24-,25+,29-/m1/s1
InChIKey NKSKBWZEZMJLSI-FUEUKBNZSA-N
Properties
Density 1.768g/cm3 (Cal.)
Market Analysis Reports
List of Reports Available for 3-Tolylacetyl-coenzyme A
Related Products
1-(Hydroxymethyl)-7-Methoxy-6-Methyl-5,8...  (10Z,12Z)-14-Pentyl-1-Oxacyclotetradeca-...  (7S,9S)-9-Acetyl-7-[(2R,5R,6S)-5-Amino-6...  28-Epimutalomycin sodium salt  1-Deamino-7-Lys-(Fluorescein)-8-Arg-Vaso...  (1S-(1alpha,2alpha(Z),3beta(1E,3S*),4alp...  2-Tolylacetyl-coenzyme A  4-Tolylacetyl-coenzyme A  2,3-Dimethoxy-5-iodo-N-((1-(4'-fluoroben...  2-Diethoxyphosphoryl-N-Methoxy-N-Methyla...  2-(1H-Benzimidazol-2-Yloxy)Ethanol  2-Hydroxy-3-[(1S)-1-(3-Hydroxyphenyl)-3-...  Abrusoside A  (7S,8aS,10aR)-3,7-Dibromo-8,8,10a-Trimet...  (7S,8aS,10aS)-3,7-Dibromo-8,8,10a-Trimet...