Online Database of Chemicals from Around the World

5,5'-Dihydroxylysylnorleucine
[CAS# 12764-49-7]

Suppliers
Santa Cruz Biotechnology, Inc. USA Inquire  
+1 (831) 457-3800
scbt@scbt.com
Chemical manufacturer
Identification
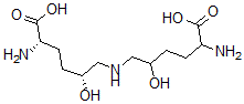
Name 5,5'-Dihydroxylysylnorleucine
Synonyms (2S,5R)-2-Amino-6-[(5-Amino-2,6-Dihydroxy-6-Oxo-Hexyl)Amino]-5-Hydroxy-Hexanoic Acid; (2S,5R)-2-Amino-6-[(5-Amino-2,6-Dihydroxy-6-Keto-Hexyl)Amino]-5-Hydroxy-Hexanoic Acid; Dhlnl
Molecular Structure CAS#: 12764-49-7, 5,5'-Dihydroxylysylnorleucine
Molecular Formula C12H25N3O6
Molecular Weight 307.35
CAS Registry Number 12764-49-7
SMILES [C@H](N)(CC[C@@H](O)CNCC(O)CCC(N)C(=O)O)C(=O)O
InChI 1S/C12H25N3O6/c13-9(11(18)19)3-1-7(16)5-15-6-8(17)2-4-10(14)12(20)21/h7-10,15-17H,1-6,13-14H2,(H,18,19)(H,20,21)/t7-,8?,9+,10?/m1/s1
InChIKey COYAOJMPFAKKAM-RJQCTPFPSA-N
Properties
Density 1.345g/cm3 (Cal.)
Boiling point 640.312°C at 760 mmHg (Cal.)
Flash point 341.049°C (Cal.)
Market Analysis Reports
List of Reports Available for 5,5'-Dihydroxylysylnorleucine
Related Products
Oleficin  Methyl (1R,2S,3S,5S)-3-(4-Fluorophenyl)-...  Methyl (1R)-3-(4-Fluorophenyl)-8-Azabicy...  2,2,2-Trifluoroethyl Ethanesulfonate  Silicic Acid Calcium Magnesium Salt  2-[[(3S,5S,10S,13S,17R)-10,13-Dimethyl-1...  (5E)-5-(5-Oxo-6H-Pyrido[4,3-c][1]Benzaze...  (6E)-6-(6-Methoxypyrido[4,3-c][2]Benzaze...  (3R)-Bicyclo[7.4.0]Trideca-1(13),9,11-Tr...  (2R)-Bicyclo[8.4.0]Tetradeca-1(14),10,12...  (11Z,13E)-6-(4-Dimethylamino-3-Hydroxy-6...  2-[(R)-Cyano-Phenylmethyl]Benzonitrile  (2R)-2-[2-(Benzoyl)Phenyl]-2-Phenylaceto...  (3S,4R)-3-Ethyl-4-(3H-Imidazol-4-Ylmethy...  7-(4-Dimethylamino-5-Hydroxy-6-Methyloxa...