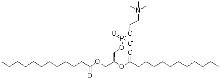
Identification
| Name |
(2S)-2,3-Bis(Dodecanoyloxy)Propyl 2-(Trimethylammonio)Ethyl Phosphate |
| Synonyms |
(R)-(7-Lauroyl-4-oxido-10-oxo-3,5,9-trioxa-4-phosphahenicosyl)trimethylammonium 4-oxide |
|
| Molecular Structure |
 |
| Molecular Formula |
C32H64NO8P |
| Molecular Weight |
621.83 |
| CAS Registry Number |
127641-86-5 |
| SMILES |
O=C(OC[C@H](OC(=O)CCCCCCCCCCC)COP([O-])(=O)OCC[N+](C)(C)C)CCCCCCCCCCC |
| InChI |
1S/C32H64NO8P/c1-6-8-10-12-14-16-18-20-22-24-31(34)38-28-30(29-40-42(36,37)39-27-26-33(3,4)5)41-32(35)25-23-21-19-17-15-13-11-9-7-2/h30H,6-29H2,1-5H3/t30-/m0/s1 |
| InChIKey |
IJFVSSZAOYLHEE-PMERELPUSA-N |
|