Online Database of Chemicals from Around the World

N-[(E)-1-[3,4-Dihydroxy-5-[5-Hydroxy-6-(Hydroxymethyl)-4-[3,4,5-Trihydroxy-6-(Hydroxymethyl)Oxan-2-Yl]Oxy-3-(3,4,5-Trihydroxyoxan-2-Yl)Oxyoxan-2-Yl]Oxy-6-(Hydroxymethyl)Oxan-2-Yl]Oxy-3-Hydroxyoctadec-4-En-2-Yl]Tetracosanamide
[CAS# 128376-90-9]

Suppliers
CAS#: 128376-90-9
Product: N-[(E)-1-[3,4-Dihydroxy-5-[5-Hydroxy-6-(Hydroxymethyl)-4-[3,4,5-Trihydroxy-6-(Hydroxymethyl)Oxan-2-Yl]Oxy-3-(3,4,5-Trihydroxyoxan-2-Yl)Oxyoxan-2-Yl]Oxy-6-(Hydroxymethyl)Oxan-2-Yl]Oxy-3-Hydroxyoctadec-4-En-2-Yl]Tetracosanamide
No suppilers available for the product.
Identification
Name N-[(E)-1-[3,4-Dihydroxy-5-[5-Hydroxy-6-(Hydroxymethyl)-4-[3,4,5-Trihydroxy-6-(Hydroxymethyl)Oxan-2-Yl]Oxy-3-(3,4,5-Trihydroxyoxan-2-Yl)Oxyoxan-2-Yl]Oxy-6-(Hydroxymethyl)Oxan-2-Yl]Oxy-3-Hydroxyoctadec-4-En-2-Yl]Tetracosanamide
Synonyms N-[(E)-1-[[3,4-Dihydroxy-5-[5-Hydroxy-6-(Hydroxymethyl)-4-[3,4,5-Trihydroxy-6-(Hydroxymethyl)Tetrahydropyran-2-Yl]Oxy-3-(3,4,5-Trihydroxytetrahydropyran-2-Yl)Oxy-Tetrahydropyran-2-Yl]Oxy-6-(Hydroxymethyl)Tetrahydropyran-2-Yl]Oxymethyl]-2-Hydroxy-Heptadec-3-Enyl]Tetracosanamide; N-[(E)-1-[[3,4-Dihydroxy-5-[[5-Hydroxy-6-(Hydroxymethyl)-4-[[3,4,5-Trihydroxy-6-(Hydroxymethyl)-2-Tetrahydropyranyl]Oxy]-3-[(3,4,5-Trihydroxy-2-Tetrahydropyranyl)Oxy]-2-Tetrahydropyranyl]Oxy]-6-(Hydroxymethyl)-2-Tetrahydropyranyl]Oxymethyl]-2-Hydroxyheptadec-3-Enyl]Tetracosanamide; N-[(E)-1-[[3,4-Dihydroxy-5-[5-Hydroxy-6-Methylol-4-(3,4,5-Trihydroxy-6-Methylol-Tetrahydropyran-2-Yl)Oxy-3-(3,4,5-Trihydroxytetrahydropyran-2-Yl)Oxy-Tetrahydropyran-2-Yl]Oxy-6-Methylol-Tetrahydropyran-2-Yl]Oxymethyl]-2-Hydroxy-Heptadec-3-Enyl]Lignoceramide
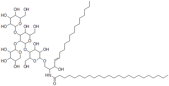
Molecular Structure CAS#: 128376-90-9, N-[(E)-1-[3,4-Dihydroxy-5-[5-Hydroxy-6-(Hydroxymethyl)-4-[3,4,5-Trihydroxy-6-(Hydroxymethyl)Oxan-2-Yl]Oxy-3-(3,4,5-Trihydroxyoxan-2-Yl)Oxyoxan-2-Yl]Oxy-6-(Hydroxymethyl)Oxan-2-Yl]Oxy-3-Hydroxyoctadec-4-En-2-Yl]Tetracosanamide
Molecular Formula C65H121NO22
Molecular Weight 1268.66
CAS Registry Number 128376-90-9
SMILES C(O)C4OC(OC1C(O)C(O)C(OC1CO)OCC(NC(=O)CCCCCCCCCCCCCCCCCCCCCCC)C(O)\C=C\CCCCCCCCCCCCC)C(OC2OCC(O)C(O)C2O)C(OC3OC(C(O)C(O)C3O)CO)C4O
InChI 1S/C65H121NO22/c1-3-5-7-9-11-13-15-17-18-19-20-21-22-23-24-26-28-30-32-34-36-38-50(72)66-44(45(70)37-35-33-31-29-27-25-16-14-12-10-8-6-4-2)42-81-62-58(80)55(77)59(49(41-69)85-62)86-65-61(88-63-56(78)51(73)46(71)43-82-63)60(53(75)48(40-68)84-65)87-64-57(79)54(76)52(74)47(39-67)83-64/h35,37,44-49,51-65,67-71,73-80H,3-34,36,38-43H2,1-2H3,(H,66,72)/b37-35+
InChIKey XDWZRGWUGSQHEW-MHAUTQJVSA-N
Properties
Density 1.24g/cm3 (Cal.)
Boiling point 1250.465°C at 760 mmHg (Cal.)
Flash point 710.055°C (Cal.)
Market Analysis Reports
List of Reports Available for N-[(E)-1-[3,4-Dihydroxy-5-[5-Hydroxy-6-(Hydroxymethyl)-4-[3,4,5-Trihydroxy-6-(Hydroxymethyl)Oxan-2-Yl]Oxy-3-(3,4,5-Trihydroxyoxan-2-Yl)Oxyoxan-2-Yl]Oxy-6-(Hydroxymethyl)Oxan-2-Yl]Oxy-3-Hydroxyoctadec-4-En-2-Yl]Tetracosanamide
Related Products
6-Methyl-6,11-dihydro-11-((N,N-dimethyla...  2-[[(2R)-2-[(2-Bromoacetyl)Amino]-4-Meth...  7-Hydroxy-2-Methyl-5-[(2S,3R,4S,5S,6R)-3...  7-[3-[3,4-Dihydroxy-4-(Hydroxymethyl)Oxo...  2-[(Phenylamino)-Thiophen-2-Ylmethyliden...  2-Chloro-6-Phenylhexanoic Acid  Ethyl 2-(Methyl-(Phenylmethyl)Amino)-2-O...  (2E)-2-[(4E)-4-[(E)-4-(2,6,6-Trimethyl-1...  Altromycin A  Altromycin C  3-[1-[(2S,3R,4S,5S)-4-Azido-3-Hydroxy-5-...  (10-Methoxy-4H-Benzo(4,5)Cyclohepta(1,2-...  (2S,3R,4R,6E,12E,14R)-2-Amino-3,4,14-Tri...  Decaplanin  7,8-Dihydro-4a-hydroperoxy-1a,3,4,6-tetr...