Online Database of Chemicals from Around the World

3-Acetamidopropyl 2-Methylprop-2-Enoate
[CAS# 133651-68-0]

Suppliers
Achemica Switzerland Inquire  
+41 (24) 466-2929
contact@achemica.com
Chemical manufacturer since 2010
Atomax Chemicals Co., Ltd. China Inquire  
+86 13417589054//+86 13424336463
info@atomaxchem.com,atomax.chemicals@gmail.com,
QQ Chat
Chemical manufacturer
Identification
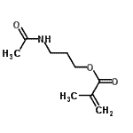
Name 3-Acetamidopropyl 2-Methylprop-2-Enoate
Synonyms 3-acetamidopropyl methacrylate
Molecular Structure CAS#: 133651-68-0, 3-Acetamidopropyl 2-Methylprop-2-Enoate
Molecular Formula C9H15NO3
Molecular Weight 185.22
CAS Registry Number 133651-68-0
SMILES O=C(C)NCCCOC(=O)C(C)=C
InChI 1S/C9H15NO3/c1-7(2)9(12)13-6-4-5-10-8(3)11/h1,4-6H2,2-3H3,(H,10,11)
InChIKey VBFGSLUUXNMGAI-UHFFFAOYSA-N
Properties
Density 1.021g/cm3 (Cal.)
Boiling point 357.071°C at 760 mmHg (Cal.)
Flash point 169.751°C (Cal.)
Refractive index 1.449 (Cal.)
Market Analysis Reports
List of Reports Available for 3-Acetamidopropyl 2-Methylprop-2-Enoate
Related Products
2-Furyl(4-Methylphenyl)Methanone  1-Cycloheptyl-4,5-Diphenyl-1H-Imidazole  3-Methoxy-4,5-Dimethyl-2-Thiophenecarbon...  4-Chloro-5-Methoxy-2-(4-Pyridinyl)Pyrimi...  1,5-Dimethyl-1H-Pyrrole-2-Carbohydrazide  2-(1H-Pyrrol-1-Yl)Benzoyl Chloride  5-(3-Hydroxy-1-Propyn-1-Yl)-2-Thiophenec...  1-[5-(3-Hydroxy-1-Propyn-1-Yl)-2-Thienyl...  2-Amino-6-Isopropyl-3-Methylphenol  Methyl 3-Isopropyl-1,2-Oxazole-5-Carboxy...  3-(2-Methyl-2-Propanyl)-1,2-Oxazole-5-Ca...  3-(1-Pyrrolidinyl)-1,2-Oxazole-5-Carbald...  2-Chloro-1-(4-Methyl-2-Furyl)Ethanone  2-Bromo-1-(2,5-Dimethyl-3-Furyl)Ethanone  5-Acetyl-3-Furamide