Online Database of Chemicals from Around the World

4-[(3S,5R,8R,9S,10S,13R,14S,17S)-3-[(2R,4S,5S,6R)-5-[(2S,4S,5S,6R)-5-[(2S,4S,5S,6R)-4,5-Dihydroxy-6-Methyloxan-2-Yl]Oxy-4-Hydroxy-6-Methyloxan-2-Yl]Oxy-4-Hydroxy-6-Methyloxan-2-Yl]Oxy-14-Hydroxy-10,13-Dimethyl-1,2,3,4,5,6,7,8,9,11,12,15,16,17-Tetradecahydrocyclopenta[a]Phenanthren-17-Yl]-5H-Furan-2-One
[CAS# 1339-93-1]

Identification
Name 4-[(3S,5R,8R,9S,10S,13R,14S,17S)-3-[(2R,4S,5S,6R)-5-[(2S,4S,5S,6R)-5-[(2S,4S,5S,6R)-4,5-Dihydroxy-6-Methyloxan-2-Yl]Oxy-4-Hydroxy-6-Methyloxan-2-Yl]Oxy-4-Hydroxy-6-Methyloxan-2-Yl]Oxy-14-Hydroxy-10,13-Dimethyl-1,2,3,4,5,6,7,8,9,11,12,15,16,17-Tetradecahydrocyclopenta[a]Phenanthren-17-Yl]-5H-Furan-2-One
Synonyms 4-[(3S,5R,8R,9S,10S,13R,14S,17S)-3-[(2R,4S,5S,6R)-5-[(2S,4S,5S,6R)-5-[(2S,4S,5S,6R)-4,5-Dihydroxy-6-Methyl-Tetrahydropyran-2-Yl]Oxy-4-Hydroxy-6-Methyl-Tetrahydropyran-2-Yl]Oxy-4-Hydroxy-6-Methyl-Tetrahydropyran-2-Yl]Oxy-14-Hydroxy-10,13-Dimethyl-1,2,3,4,5,6,7,8,9,11,12,15,16,17-Tetradecahydrocyclopenta[A]Phenanthren-17-Yl]-5H-Furan-2-One; 4-[(3S,5R,8R,9S,10S,13R,14S,17S)-3-[[(2R,4S,5S,6R)-5-[[(2S,4S,5S,6R)-5-[[(2S,4S,5S,6R)-4,5-Dihydroxy-6-Methyl-2-Tetrahydropyranyl]Oxy]-4-Hydroxy-6-Methyl-2-Tetrahydropyranyl]Oxy]-4-Hydroxy-6-Methyl-2-Tetrahydropyranyl]Oxy]-14-Hydroxy-10,13-Dimethyl-1,2,3,4,5,6,7,8,9,11,12,15,16,17-Tetradecahydrocyclopenta[A]Phenanthren-17-Yl]-5H-Furan-2-One; 4-[(3S,5R,8R,9S,10S,13R,14S,17S)-3-[(2R,4S,5S,6R)-5-[(2S,4S,5S,6R)-5-[(2S,4S,5S,6R)-4,5-Dihydroxy-6-Methyl-Oxan-2-Yl]Oxy-4-Hydroxy-6-Methyl-Oxan-2-Yl]Oxy-4-Hydroxy-6-Methyl-Oxan-2-Yl]Oxy-14-Hydroxy-10,13-Dimethyl-1,2,3,4,5,6,7,8,9,11,12,15,16,17-Tetradecahydrocyclopenta[A]Phenanthren-17-Yl]-5H-Furan-2-One
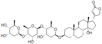
Molecular Structure CAS#: 1339-93-1, 4-[(3S,5R,8R,9S,10S,13R,14S,17S)-3-[(2R,4S,5S,6R)-5-[(2S,4S,5S,6R)-5-[(2S,4S,5S,6R)-4,5-Dihydroxy-6-Methyloxan-2-Yl]Oxy-4-Hydroxy-6-Methyloxan-2-Yl]Oxy-4-Hydroxy-6-Methyloxan-2-Yl]Oxy-14-Hydroxy-10,13-Dimethyl-1,2,3,4,5,6,7,8,9,11,12,15,16,17-Tetradecahydrocyclopenta[a]Phenanthren-17-Yl]-5H-Furan-2-One
Molecular Formula C41H64O13
Molecular Weight 764.95
CAS Registry Number 1339-93-1
SMILES [C@]67([C@H]1[C@@H]([C@@]2([C@H](CC1)C[C@H](CC2)O[C@H]3C[C@@H]([C@@H]([C@H](O3)C)O[C@H]4C[C@@H]([C@@H]([C@H](O4)C)O[C@H]5C[C@@H]([C@@H]([C@H](O5)C)O)O)O)O)C)CC[C@@]6([C@@H](CC7)C8=CC(OC8)=O)C)O
InChI 1S/C41H64O13/c1-20-36(46)29(42)16-34(49-20)53-38-22(3)51-35(18-31(38)44)54-37-21(2)50-33(17-30(37)43)52-25-8-11-39(4)24(15-25)6-7-28-27(39)9-12-40(5)26(10-13-41(28,40)47)23-14-32(45)48-19-23/h14,20-22,24-31,33-38,42-44,46-47H,6-13,15-19H2,1-5H3/t20-,21-,22-,24-,25+,26+,27+,28-,29+,30+,31+,33+,34+,35+,36-,37-,38-,39+,40-,41+/m1/s1
InChIKey WDJUZGPOPHTGOT-ADSZZZNASA-N
Properties
Density 1.331g/cm3 (Cal.)
Boiling point 902.258°C at 760 mmHg (Cal.)
Flash point 269.545°C (Cal.)
Market Analysis Reports
List of Reports Available for 4-[(3S,5R,8R,9S,10S,13R,14S,17S)-3-[(2R,4S,5S,6R)-5-[(2S,4S,5S,6R)-5-[(2S,4S,5S,6R)-4,5-Dihydroxy-6-Methyloxan-2-Yl]Oxy-4-Hydroxy-6-Methyloxan-2-Yl]Oxy-4-Hydroxy-6-Methyloxan-2-Yl]Oxy-14-Hydroxy-10,13-Dimethyl-1,2,3,4,5,6,7,8,9,11,12,15,16,17-Tetradecahydrocyclopenta[a]Phenanthren-17-Yl]-5H-Furan-2-One
Related Products
Ethyl 2-(2-Bromoacetyl)Benzoate  3-(4-Chlorophenyl)-4,5-Dihydro-1-[4-(Vin...  3-Mercaptopropyltrimethylsilane  Ferric-N-(3-phenylglutaryl)desferrioxami...  Adenosine 3'-Phosphate 5'-Diphosphate  (1S,4R)-6-Azabicyclo[2.2.1]Heptan-5-One  Technetium-99-L,L-ethylenedicysteine  1,3-Dimethyl-2,4(1H,3H)-Pteridinedione  7-Methyllumizine  2-Bromoethenylbenzene  6a,12a-Dihydro-6H-[1,3]dioxolo[4',5':5,6...  Vinyl Hydrogen Sulphate  Butyl 2-Chloroacrylate  2-[4-[(4,6-Diamino-1,3,5-Triazin-2-Yl)Am...  8-[3-[6-[[3,4-Dihydroxy-4-(Hydroxymethyl...