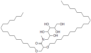
Identification
| Name |
2-Docosoxy-N-Methyl-3-Octadecoxy-N-(2,3,4,5,6-Pentahydroxyhexyl)Propanamide |
| Synonyms |
2-Behenyloxy-N-Methyl-N-(2,3,4,5,6-Pentahydroxyhexyl)-3-Stearyloxy-Propionamide; 1-Stearyl-2-Behenylglycerate-3-N-Methylglucamine; D-Glucitol, 1-Deoxy-1-((2-(Docosyloxy)-3-(Octadecyloxy)-1-Oxopropyl)Methylamino)- |
|
| Molecular Structure |
 |
| Molecular Formula |
C50H101NO8 |
| Molecular Weight |
844.35 |
| CAS Registry Number |
135941-60-5 |
| SMILES |
C(O)C(O)C(C(O)C(CN(C(=O)C(OCCCCCCCCCCCCCCCCCCCCCC)COCCCCCCCCCCCCCCCCCC)C)O)O |
| InChI |
1S/C50H101NO8/c1-4-6-8-10-12-14-16-18-20-22-23-24-25-27-29-31-33-35-37-39-41-59-47(50(57)51(3)42-45(53)48(55)49(56)46(54)43-52)44-58-40-38-36-34-32-30-28-26-21-19-17-15-13-11-9-7-5-2/h45-49,52-56H,4-44H2,1-3H3 |
| InChIKey |
XEKJRJQZHYFRDQ-UHFFFAOYSA-N |
|