Online Database of Chemicals from Around the World

2,2'-{[26,28-Dimethoxy-5,11,17,23-Tetrakis(2-Methyl-2-Propanyl)Pentacyclo[19.3.1.13,7.19,13.115,19]Octacosa-1(25),3(28),4,6,9(27),10,12,15(26),16,18,21,23-Dodecaene-25,27-Diyl]Bis(Oxy)}Diacetic Acid
[CAS# 136157-98-7]

Identification
Name 2,2'-{[26,28-Dimethoxy-5,11,17,23-Tetrakis(2-Methyl-2-Propanyl)Pentacyclo[19.3.1.13,7.19,13.115,19]Octacosa-1(25),3(28),4,6,9(27),10,12,15(26),16,18,21,23-Dodecaene-25,27-Diyl]Bis(Oxy)}Diacetic Acid
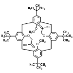
Molecular Structure CAS#: 136157-98-7, 2,2'-{[26,28-Dimethoxy-5,11,17,23-Tetrakis(2-Methyl-2-Propanyl)Pentacyclo[19.3.1.1<Sup>3,7</Sup>.1<Sup>9,13</Sup>.1<Sup>15,19</Sup>]Octacosa-1(25),3(28),4,6,9(27),10,12,15(26),16,18,21,23-Dodecaene-25,27-Diyl]Bis(Oxy)}Diacetic Acid
Molecular Formula C50H64O8
Molecular Weight 793.04
CAS Registry Number 136157-98-7
SMILES CC(C)(C)C1=CC2=C(C(=C1)CC3=CC(=CC(=C3OCC(=O)O)CC4=CC(=CC(=C4OC)CC5=C(C(=CC(=C5)C(C)(C)C)C2)OCC(=O)O)C(C)(C)C)C(C)(C)C)OC
InChI 1S/C50H64O8/c1-47(2,3)37-19-29-15-33-23-39(49(7,8)9)25-35(45(33)57-27-41(51)52)17-31-21-38(48(4,5)6)22-32(44(31)56-14)18-36-26-40(50(10,11)12)24-34(46(36)58-28-42(53)54)16-30(20-37)43(29)55-13/h19-26H,15-18,27-28H2,1-14H3,(H,51,52)(H,53,54)
InChIKey GRSQCGICFHAMOA-UHFFFAOYSA-N
Properties
Density 1.1±0.1g/cm3 (Cal.)
1.045-1.165 (Expl.)
Melting point 250-252°C (Expl.)
Boiling point 844.9±65.0°C at 760 mmHg (Cal.)
Flash point 238.2±27.8°C (Cal.)
Refractive index 1.553 (Cal.)
Safety Data
Safety Description CAUTION: May irritate eyes, skin, and respiratory tract
SDS Available
Market Analysis Reports
List of Reports Available for 2,2'-{[26,28-Dimethoxy-5,11,17,23-Tetrakis(2-Methyl-2-Propanyl)Pentacyclo[19.3.1.13,7.19,13.115,19]Octacosa-1(25),3(28),4,6,9(27),10,12,15(26),16,18,21,23-Dodecaene-25,27-Diyl]Bis(Oxy)}Diacetic Acid
Related Products
1-[(2S,3S)-3-(Trimethylsilyl)-2-Oxiranyl...  2-(Dimethoxymethyl)-1H-Benzimidazole  1H-Naphtho[2,3-d]Imidazole-2-Carbaldehyd...  4,12-Tetradecadiene-8,10-Diyne-1,6,7-Tri...  Ethyl (2S,3R)-3-(Hydroxymethyl)-2-Oxiran...  Trichloro(3-Phenylpropyl)Silane  (4E)-4-[(4-Aminophenyl)Imino]-5-Methyl-2...  4-Ethoxy-6,7,8,9-Tetrahydro-5H-Cyclohept...  3-(Butyrylamino)-3-Oxopropanoic Acid  Methyl N-[(Allyloxy)Carbonyl]-L-Serinate  1,1',1''-(Cyclohexylmethanetriyl)Tribenz...  2-Acetyl-6-Nitrobenzoic Acid  3-Ethoxycyclohexanone  1-[(3aR,6aR)-2-Amino-3,3A,4,5,6,6A-Hexah...  4-Cyclopropyl-2-Methyl-1,3-Thiazole-5-Ca...