Online Database of Chemicals from Around the World

N-Acetyl-L-Alanyl-L-Alanyl-L-Glutaminyl-L-Lysyl-L-Arginyl-L-Prolyl-L-Seryl-L-Glutaminyl-L-Arginyl-L-Seryl-L-Lysyl-L-Tyrosyl-L-Leucyl-L-Alanyl-L-Seryl-L-Alaninamide
[CAS# 141311-87-7]

Suppliers
CAS#: 141311-87-7
Product: N-Acetyl-L-Alanyl-L-Alanyl-L-Glutaminyl-L-Lysyl-L-Arginyl-L-Prolyl-L-Seryl-L-Glutaminyl-L-Arginyl-L-Seryl-L-Lysyl-L-Tyrosyl-L-Leucyl-L-Alanyl-L-Seryl-L-Alaninamide
No suppilers available for the product.
Identification
Name N-Acetyl-L-Alanyl-L-Alanyl-L-Glutaminyl-L-Lysyl-L-Arginyl-L-Prolyl-L-Seryl-L-Glutaminyl-L-Arginyl-L-Seryl-L-Lysyl-L-Tyrosyl-L-Leucyl-L-Alanyl-L-Seryl-L-Alaninamide
Synonyms Mpa-16; Myelin Peptide Amide-16
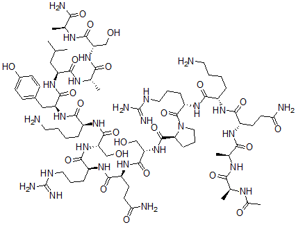
Molecular Structure CAS#: 141311-87-7, N-Acetyl-L-Alanyl-L-Alanyl-L-Glutaminyl-L-Lysyl-L-Arginyl-L-Prolyl-L-Seryl-L-Glutaminyl-L-Arginyl-L-Seryl-L-Lysyl-L-Tyrosyl-L-Leucyl-L-Alanyl-L-Seryl-L-Alaninamide
Molecular Formula C77H131N27O23
Molecular Weight 1803.05
CAS Registry Number 141311-87-7
SMILES [C@H](C(=O)N)(NC([C@@H](NC([C@@H](NC([C@@H](NC([C@@H](NC([C@@H](NC([C@@H](NC([C@@H](NC([C@@H](NC([C@@H](NC([C@H]1N(CCC1)C([C@@H](NC([C@@H](NC([C@@H](NC([C@@H](NC([C@@H](NC(=O)C)C)=O)C)=O)CCC(=O)N)=O)CCCCN)=O)CCCNC(=N)N)=O)=O)CO)=O)CCC(=O)N)=O)CCCNC(=N)N)=O)CO)=O)CCCCN)=O)CC2=CC=C(O)C=C2)=O)CC(C)C)=O)C)=O)CO)=O)C
InChI 1S/C77H131N27O23/c1-38(2)33-52(69(121)92-42(6)63(115)101-54(35-105)71(123)90-39(3)60(82)112)99-70(122)53(34-44-20-22-45(109)23-21-44)100-65(117)47(16-9-11-29-79)96-72(124)55(36-106)102-66(118)48(17-12-30-87-76(83)84)95-68(120)50(25-27-59(81)111)97-73(125)56(37-107)103-74(126)57-19-14-32-104(57)75(127)51(18-13-31-88-77(85)86)98-64(116)46(15-8-10-28-78)94-67(119)49(24-26-58(80)110)93-62(114)41(5)91-61(113)40(4)89-43(7)108/h20-23,38-42,46-57,105-107,109H,8-19,24-37,78-79H2,1-7H3,(H2,80,110)(H2,81,111)(H2,82,112)(H,89,108)(H,90,123)(H,91,113)(H,92,121)(H,93,114)(H,94,119)(H,95,120)(H,96,124)(H,97,125)(H,98,116)(H,99,122)(H,100,117)(H,101,115)(H,102,118)(H,103,126)(H4,83,84,87)(H4,85,86,88)/t39-,40-,41-,42-,46-,47-,48-,49-,50-,51-,52-,53-,54-,55-,56-,57-/m0/s1
InChIKey UFMBFIIJKCBBHN-MEKJRKEKSA-N
Market Analysis Reports
List of Reports Available for N-Acetyl-L-Alanyl-L-Alanyl-L-Glutaminyl-L-Lysyl-L-Arginyl-L-Prolyl-L-Seryl-L-Glutaminyl-L-Arginyl-L-Seryl-L-Lysyl-L-Tyrosyl-L-Leucyl-L-Alanyl-L-Seryl-L-Alaninamide
Related Products
N-Acetylperosamine  2-Amino-9-[(4S,5R)-4-Hydroxy-5-(Hydroxym...  5-Anilino-4-Phenyl-4H-1,2,4-Triazole-3-T...  4-(4-Methoxy-Phenyl)-4H-[1,2,4]Triazole-...  2-Methyl-3-(2'-methylphenyl)-4-oxo-3,4-d...  4-nitrophenyl Tetra(2-acetamido-2-deoxy-...  (R*,S*)-9-Acetoxy-10-Hydroxyoctadecanoic...  Technetium-99  2-Ethyl-9-Hydroxy-6-(5-Hydroxy-4-Methoxy...  (2R,3R,4S,5R)-2-[6-Amino-2-(3-Cyclopenty...  3-Methyl-2-[(Z)-(1-Methyl-2-Oxopyrrolidi...  1-Methyl-5-Nitro-2-Phenylselanylimidazol...  Lysyl-arginyl-arginyltryptophyl-lysyl-ly...  Lysyl-arginyl-arginyl-phenylalanyl-lysyl...  Gambieric acid B