Identification
| Name |
Woodrosin II |
| Synonyms |
Jalapinolic Acid 11-O-D-Glucopyranosyl-1-6-O-(3-Isobutyryl-4-O-2-Methylbutyryl)Glucopyranosyl-1-3-O-((2,4-Di-O-2-Methylbutyryl)Rhamnopyranosyl-1-2)-O-Glucopyranosyl-1-2-Glucopyranoside Intramolecular 1,2'''''-Ester; Woodrosin Ii |
|
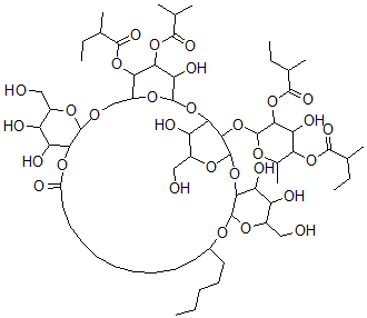
| Molecular Structure |
 |
| Molecular Formula |
C65H110O30 |
| Molecular Weight |
1371.57 |
| CAS Registry Number |
156057-52-2 |
| SMILES |
C(C5OC3C(C(OC1C(C(OC(=O)C(C)C)C(C(O1)COC2C(C(O)C(C(O2)CO)O)OC(=O)CCCCCCCCCC(OC4C(O3)C(C(C(CO)O4)O)O)CCCCC)OC(=O)C(CC)C)O)C5O)OC6C(C(O)C(C(O6)C)OC(=O)C(CC)C)OC(=O)C(CC)C)O |
| InChI |
1S/C65H110O30/c1-11-15-21-24-36-25-22-19-17-16-18-20-23-26-41(69)88-53-45(73)42(70)37(27-66)84-62(53)81-30-40-50(90-59(79)33(8)13-3)52(91-57(77)31(5)6)48(76)61(87-40)93-51-44(72)39(29-68)86-65(94-54-46(74)43(71)38(28-67)85-64(54)83-36)56(51)95-63-55(92-60(80)34(9)14-4)47(75)49(35(10)82-63)89-58(78)32(7)12-2/h31-40,42-56,61-68,70-76H,11-30H2,1-10H3 |
| InChIKey |
CYPSJGBZJZVRGM-UHFFFAOYSA-N |
|