Online Database of Chemicals from Around the World

Tert-Butyl N-[(2S,3R)-3-Hydroxy-4-[[(2R,3S)-2-Hydroxy-3-[(2-Methylpropan-2-Yl)Oxycarbonylamino]-4-Phenylbutyl]Amino]-1-[4-[2-(2-Oxo-1,3-Oxazolidin-3-Yl)Ethoxy]Phenyl]Butan-2-Yl]Carbamate
[CAS# 162540-90-1]

Suppliers
CAS#: 162540-90-1
Product: Tert-Butyl N-[(2S,3R)-3-Hydroxy-4-[[(2R,3S)-2-Hydroxy-3-[(2-Methylpropan-2-Yl)Oxycarbonylamino]-4-Phenylbutyl]Amino]-1-[4-[2-(2-Oxo-1,3-Oxazolidin-3-Yl)Ethoxy]Phenyl]Butan-2-Yl]Carbamate
No suppilers available for the product.
Identification
Name Tert-Butyl N-[(2S,3R)-3-Hydroxy-4-[[(2R,3S)-2-Hydroxy-3-[(2-Methylpropan-2-Yl)Oxycarbonylamino]-4-Phenylbutyl]Amino]-1-[4-[2-(2-Oxo-1,3-Oxazolidin-3-Yl)Ethoxy]Phenyl]Butan-2-Yl]Carbamate
Synonyms Tert-Butyl N-[(1S,2R)-3-[[(2R,3S)-3-(Tert-Butoxycarbonylamino)-2-Hydroxy-4-Phenyl-Butyl]Amino]-2-Hydroxy-1-[[4-[2-(2-Oxooxazolidin-3-Yl)Ethoxy]Phenyl]Methyl]Propyl]Carbamate; N-[(1S,2R)-3-[[(2R,3S)-3-[(Tert-Butoxy-Oxomethyl)Amino]-2-Hydroxy-4-Phenylbutyl]Amino]-2-Hydroxy-1-[[4-[2-(2-Oxo-3-Oxazolidinyl)Ethoxy]Phenyl]Methyl]Propyl]Carbamic Acid Tert-Butyl Ester; N-[(1S,2R)-3-[[(2R,3S)-3-(Tert-Butoxycarbonylamino)-2-Hydroxy-4-Phenyl-Butyl]Amino]-2-Hydroxy-1-[4-[2-(2-Ketooxazolidin-3-Yl)Ethoxy]Benzyl]Propyl]Carbamic Acid Tert-Butyl Ester
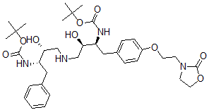
Molecular Structure CAS#: 162540-90-1, Tert-Butyl N-[(2S,3R)-3-Hydroxy-4-[[(2R,3S)-2-Hydroxy-3-[(2-Methylpropan-2-Yl)Oxycarbonylamino]-4-Phenylbutyl]Amino]-1-[4-[2-(2-Oxo-1,3-Oxazolidin-3-Yl)Ethoxy]Phenyl]Butan-2-Yl]Carbamate
Molecular Formula C35H52N4O9
Molecular Weight 672.82
CAS Registry Number 162540-90-1
SMILES [C@@H](NC(OC(C)(C)C)=O)([C@H](O)CNC[C@H]([C@@H](NC(OC(C)(C)C)=O)CC1=CC=C(C=C1)OCCN2C(OCC2)=O)O)CC3=CC=CC=C3
InChI 1S/C35H52N4O9/c1-34(2,3)47-31(42)37-27(20-24-10-8-7-9-11-24)29(40)22-36-23-30(41)28(38-32(43)48-35(4,5)6)21-25-12-14-26(15-13-25)45-18-16-39-17-19-46-33(39)44/h7-15,27-30,36,40-41H,16-23H2,1-6H3,(H,37,42)(H,38,43)/t27-,28-,29+,30+/m0/s1
InChIKey SGPZLDNIZDMEIK-VZNYXHRGSA-N
Properties
Density 1.199g/cm3 (Cal.)
Boiling point 862.951°C at 760 mmHg (Cal.)
Flash point 475.696°C (Cal.)
Market Analysis Reports
List of Reports Available for Tert-Butyl N-[(2S,3R)-3-Hydroxy-4-[[(2R,3S)-2-Hydroxy-3-[(2-Methylpropan-2-Yl)Oxycarbonylamino]-4-Phenylbutyl]Amino]-1-[4-[2-(2-Oxo-1,3-Oxazolidin-3-Yl)Ethoxy]Phenyl]Butan-2-Yl]Carbamate
Related Products
4-[(2R)-2-(3-Cyclopentyloxy-4-Methoxyphe...  Gly-leu-thr-pro-asn-met-asn-ser-leu-phe-...  2-Methyl-2-[(propan-2-yl)amino]propaneni...  3,3''-Bipyridine-5-Sulfonic Acid  9,10-Dihydro-9,10-Ethenoanthracene-11,12...  Tetracyclo[6.6.2.02,7.09,14]Hexadecane-2...  4-Tert-Butylbiphenyl  Phenyltrimethylgermane  Octyl Myristate  Zinc Myristate  Octane-2,7-Dione  Potassium Phenylphosphinate  Disodium [2-[5-acetamido-6-[2-[4,5-dihyd...  Sodium [2-[5-Acetamido-6-[2-[6-[(E)-3-(B...  1-(Chloroacetyl)-4-(4-Nitrophenyl)Pipera...