Online Database of Chemicals from Around the World

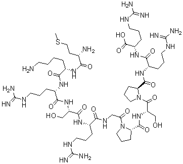
L-Methionyl-L-Lysyl-L-Arginyl-L-Seryl-L-Arginylglycyl-L-Prolyl-L-Seryl-L-Prolyl-L-Arginyl-L-Arginine
[CAS# 165174-60-7]

Suppliers
BOC Sciences USA Inquire  
+1 (631) 485-4226
info@bocsci.com
Skype Chat
Chemical distributor
chemBlink massive supplier since 2012
International Laboratory Limited USA Inquire  
+1 (650) 278-9963
admin@intlab.org
Chemical manufacturer since 2002
Identification
Name L-Methionyl-L-Lysyl-L-Arginyl-L-Seryl-L-Arginylglycyl-L-Prolyl-L-Seryl-L-Prolyl-L-Arginyl-L-Arginine
Synonyms BRADYKININ-LIKE NEUROPEPTIDE (APLYSIA CALIFORNICA); H-MET-LYS-ARG-SER-ARG-GLY-PRO-SER-PRO-ARG-ARG-OH; MET-LYS-ARG-SER-ARG-GLY-PRO-SER-PRO-ARG-ARG
Molecular Structure CAS#: 165174-60-7, L-Methionyl-L-Lysyl-L-Arginyl-L-Seryl-L-Arginylglycyl-L-Prolyl-L-Seryl-L-Prolyl-L-Arginyl-L-Arginine
Molecular Formula C53H98N24O14S
Molecular Weight 1327.56
CAS Registry Number 165174-60-7
SMILES NCCCC[C@@H](C(=O)N[C@H](C(=O)N[C@H](C(=O)N[C@H](C(=O)NCC(=O)N1CCC[C@H]1C(=O)N[C@H](C(=O)N1CCC[C@H]1C(=O)N[C@H](C(=O)N[C@H](C(=O)O)CCCNC(=N)N)CCCNC(=N)N)CO)CCCNC(=N)N)CO)CCCNC(=N)N)NC(=O)[C@H](CCSC)N
InChI 1S/C53H98N24O14S/c1-92-25-17-29(55)40(81)69-31(10-2-3-18-54)42(83)71-32(12-5-20-65-51(58)59)44(85)74-35(27-78)45(86)70-30(11-4-19-64-50(56)57)41(82)68-26-39(80)76-23-8-15-37(76)46(87)75-36(28-79
Safety Data
SDS Available
Market Analysis Reports
List of Reports Available for L-Methionyl-L-Lysyl-L-Arginyl-L-Seryl-L-Arginylglycyl-L-Prolyl-L-Seryl-L-Prolyl-L-Arginyl-L-Arginine
Related Products
N-[3-(2-Furanyl)-1-Oxo-2-Propenyl]-S-(3,...  2-(Phenylthio)-3-Pyridinecarbonylchlorid...  6-Fluoro-N4,N4-Dimethyl-2,4-Pyrimidinedi...  N4,N4-Diethyl-6-Fluoro-2,4-Pyrimidinedia...  (1alpha,3alpha,5alpha)-1,3,5-Cyclohexane...  1,1,1,2,2-Pentachloro-3,3,3-Trifluoro-Pr...  2-Imino-4-Methylpiperidine Acetate  2-Heptyl-Cyclopentanone Oxime  2,2,3,3,4,4,5,5,6,6,7,7,8,8,9,9,10,10,11...  5-(Isocyanomethyl)-1,2,3-Trimethoxy-Benz...  2-Iodo-1,4-Benzenedicarboxylic Acid 1,4-...  (4S,5S)-1,4,5,6-Tetrahydro-5-Hydroxy-2-M...  Sodium Oleate  4-Methyl-3-(Phenylmethoxy)-Benzoic Acid  [(1S)-1-(2S)-Oxiranylethyl]-Carbamic Aci...