Online Database of Chemicals from Around the World

2-Methyl-2-Pentyl-1,1-Cyclopropanedicarbonitrile
[CAS# 16738-90-2]

Suppliers
Achemica Switzerland Inquire  
+41 (24) 466-2929
contact@achemica.com
Chemical manufacturer since 2010
Identification
Name 2-Methyl-2-Pentyl-1,1-Cyclopropanedicarbonitrile
Synonyms 2-Methyl-2-pentyl-1,1-cyclopropanedicarbonitrile #
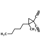
Molecular Structure CAS#: 16738-90-2, 2-Methyl-2-Pentyl-1,1-Cyclopropanedicarbonitrile
Molecular Formula C11H16N2
Molecular Weight 176.26
CAS Registry Number 16738-90-2
SMILES N#CC1(C#N)CC1(C)CCCCC
InChI 1S/C11H16N2/c1-3-4-5-6-10(2)7-11(10,8-12)9-13/h3-7H2,1-2H3
InChIKey PFEVXHRLKFTYKG-UHFFFAOYSA-N
Properties
Density 0.978g/cm3 (Cal.)
Boiling point 308.685°C at 760 mmHg (Cal.)
Flash point 137.8°C (Cal.)
Refractive index 1.476 (Cal.)
Market Analysis Reports
List of Reports Available for 2-Methyl-2-Pentyl-1,1-Cyclopropanedicarbonitrile
Related Products
4,6-Dioxo-1,3-Dioxane-5-Carbaldehyde  (3S)-3-Methyl-5-Thioxo-2-Piperazinone  (8aS)-4-Thioxohexahydropyrrolo[1,2-a]Pyr...  (3S,8aS)-3-Methyl-1-Thioxohexahydropyrro...  (6R)-6-Methyl-5-Thioxo-2-Piperazinone  (6S)-6-Methyl-5-Thioxo-2-Piperazinone  6-Oxo-2-Phenyl-2-Piperidinecarboxylic Ac...  5-Oxo-2-Phenyl-L-Proline  4-Cyclopropylbenzenesulfonamide  4-[2-(4-Morpholinyl)-2-Oxoethoxy]Benzene...  1-(2-Ethyl-4-Methyl-1,3-Oxazol-5-Yl)Etha...  2,2,2-Trifluoro-1-(3-Furyl)Ethanone  2,2,2-Trifluoro-1-(4-Methyl-1,3-Oxazol-2...  2-O-(6-Deoxyhexopyranosyl)Hexopyranose  3-(4-Piperidinyl)-1,2-Oxazol-5-Ol